🇳🇴 🇬🇧 🇩🇪 🇨🇿 🇫🇮

Meteor, poloha: Naustdal 2024-11-03 20:13:33 UTC

Soubor KML  |  InteraktivnĂ­ mapa

Mapa zobrazuje dráhy meteoru. Světlejší čáry ukazují směry od pozorovacích stanic při objevení se meteoru a tmavší čáry, kde byl naposledy viděn. Modrá šipka značí viditelnou dráhu meteoru.

static map
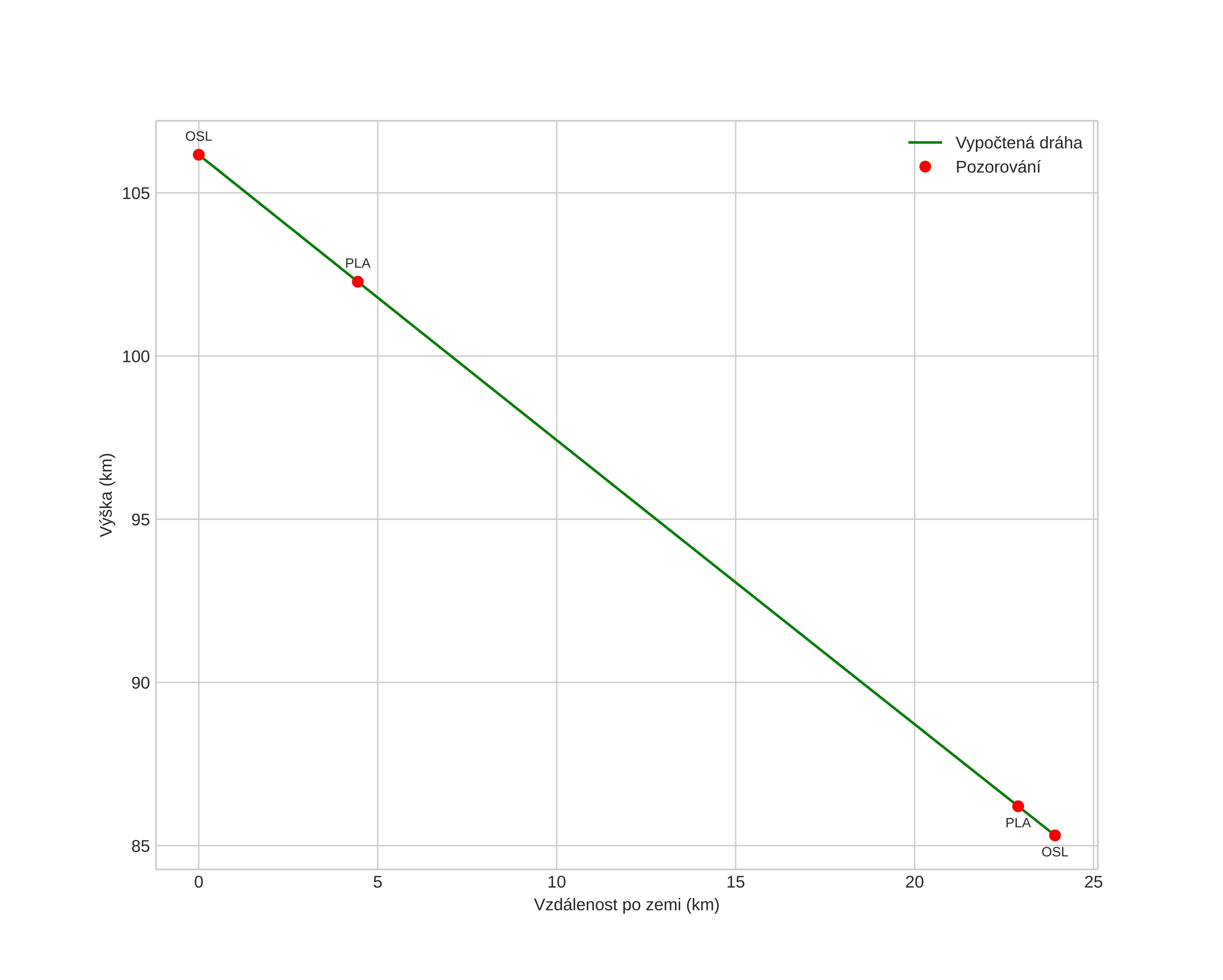
height profile
Atmosférická dráha meteoru:
Počáteční výška: 106,2 km
Konečná výška: 85,1 km
Počáteční poloha: 61,706N 5,588E
Konečná poloha: 61,489N 5,569E
Směr: 182,4°
Sklon: 41,1°
VstupnĂ­ rychlost: 54,6 km/s
Rektascenze radiantu: 11:10 (167,7°)
Deklinace radiantu: 69,0°
MeteorickĂ˝ roj: sporadickĂ˝
Elementy dráhy meteoroidu:
Vzdálenost v periheliu: 0,990 AU
Excentricita: 1,186
Sklon dráhy: 90,0°
Délka vzestupného uzlu: 221,6°
Argument perihelia: 185,0°
Střední anomálie: -0,3°
Epocha: 2024 NOV 03 20:13:33
orbit plot

NeinteraktivnĂ­ graf | InteraktivnĂ­ graf

position vs time
speed and acceleration

Plassen (PLA) cam5

gnomonic
Videa
Obrázky
• Původní
Textové soubory
• Detekce
• Pozorování
• Souřadnice
• Protokol
Jasnost