🇳🇴 🇬🇧 🇩🇪 🇨🇿 🇫🇮

Meteor Naustdalin yllä 2024-11-03 20:13:33 UTC

KML-tiedosto  |  Interaktiivinen kartta

Kartta näyttää meteorin suuntahavainnot. Vaaleammat viivat näyttävät suunnat havaintoasemilta meteorin ilmestyessä, ja tummemmat viivat näyttävät, missä se viimeksi nähtiin. Sininen nuoli näyttää meteorin näkyvän lennon.

static map
height profile
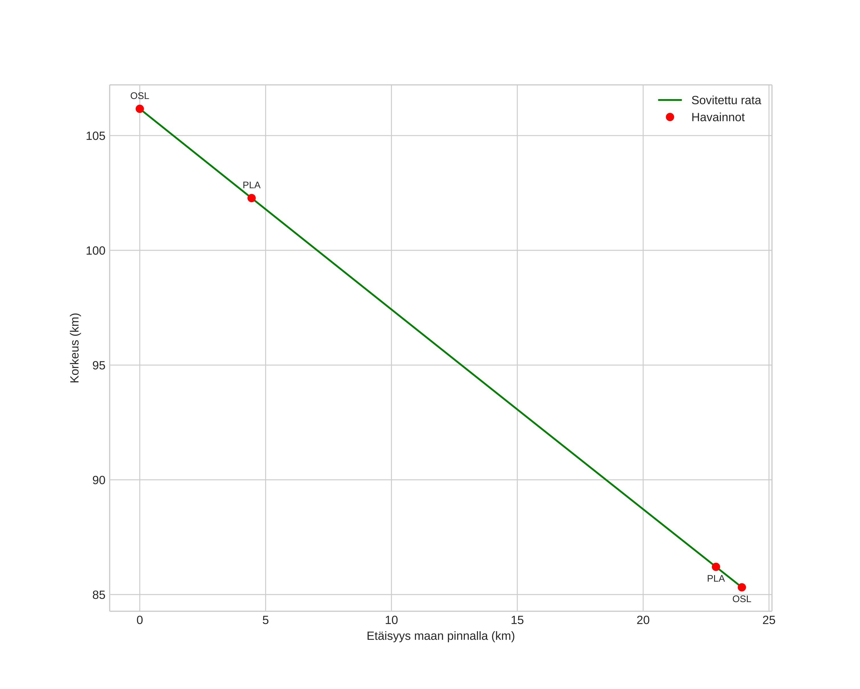
Meteorin ilmakehärata:
Alkukorkeus: 106,2 km
Loppukorkeus: 85,1 km
Alkupiste: 61,706N 5,588E
Loppupiste: 61,489N 5,569E
Suunta: 182,4°
Kallistuskulma: 41,1°
Tulonopeus: 54,6 km/s
Radiantin R,A,: 11:10 (167,7°)
Radiantin Dekl,: 69,0°
Meteoriparvi: Sporadinen
Meteoroidin rataelementit:
Perihelietäisyys: 0,990 AU
Eksentrisyys: 1,186
Inklinaatio: 90,0°
Nousevan solmun pituus: 221,6°
Perihelin argumentti: 185,0°
Keskianomalia: -0,3°
Epookki: 2024 NOV 03 20:13:33
orbit plot

Ei-interaktiivinen kuvaaja | Interaktiivinen kuvaaja

position vs time
speed and acceleration

Plassen (PLA) cam5

gnomonic
Videot:
Kuvat:
• Alkuperäinen
Tekstitiedostot:
• Havaintoraportti
• Observaatio
• Koordinaatit
• Loki
Kirkkaus