🇳🇴 🇬🇧 🇩🇪 🇨🇿 🇫🇮

Meteor über Naustdal 2024-11-03 20:13:33 UTC

KML-Datei  |  Interaktive Karte

Die Karte zeigt die Peilungen für den Meteor. Die helleren Linien zeigen die Richtungen von den Beobachtungsorten beim Erscheinen des Meteors, und die dunkleren Linien, wo er zuletzt gesehen wurde. Der blaue Pfeil zeigt die sichtbare Bahn des Meteors.

static map
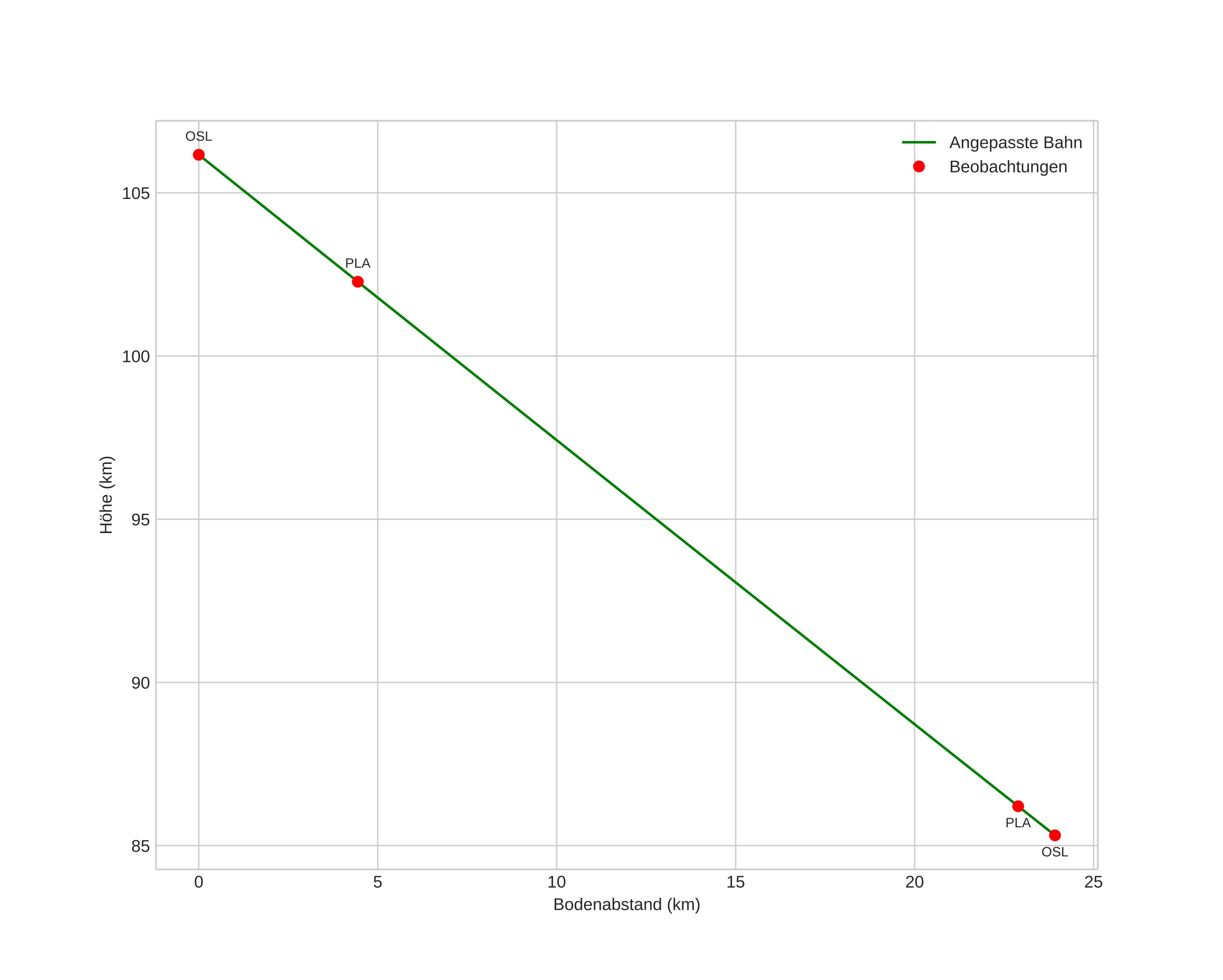
height profile
Atmosphärische Bahn des Meteors:
Anfangshöhe: 106,2 km
Endhöhe: 85,1 km
Startposition: 61,706N 5,588E
Endposition: 61,489N 5,569E
Richtung: 182,4°
Neigungswinkel: 41,1°
Eintrittsgeschwindigkeit: 54,6 km/s
Rektaszension des Radianten: 11:10 (167,7°)
Deklination des Radianten: 69,0°
Meteorstrom: sporadisch
Bahnelemente des Meteoroiden:
Periheldistanz: 0,990 AU
Exzentrizität: 1,186
Inklination: 90,0°
Länge des aufsteigenden Knotens: 221,6°
Argument des Perihels: 185,0°
Mittlere Anomalie: -0,3°
Epoche: 2024 NOV 03 20:13:33
orbit plot

Nicht-interaktives Diagramm | Interaktives Diagramm

position vs time
speed and acceleration

Plassen (PLA) cam5

gnomonic
Videos
Bilder
• Original
Textdateien
• Erkennung
• Beobachtung
• Koordinaten
• Protokoll
Helligkeit