🇳🇴 🇬🇧 🇩🇪 🇨🇿 🇫🇮

Meteor, poloha: Rena 2024-11-04 22:15:32 UTC

Soubor KML  |  InteraktivnĂ­ mapa

Mapa zobrazuje dráhy meteoru. Světlejší čáry ukazují směry od pozorovacích stanic při objevení se meteoru a tmavší čáry, kde byl naposledy viděn. Modrá šipka značí viditelnou dráhu meteoru.

static map
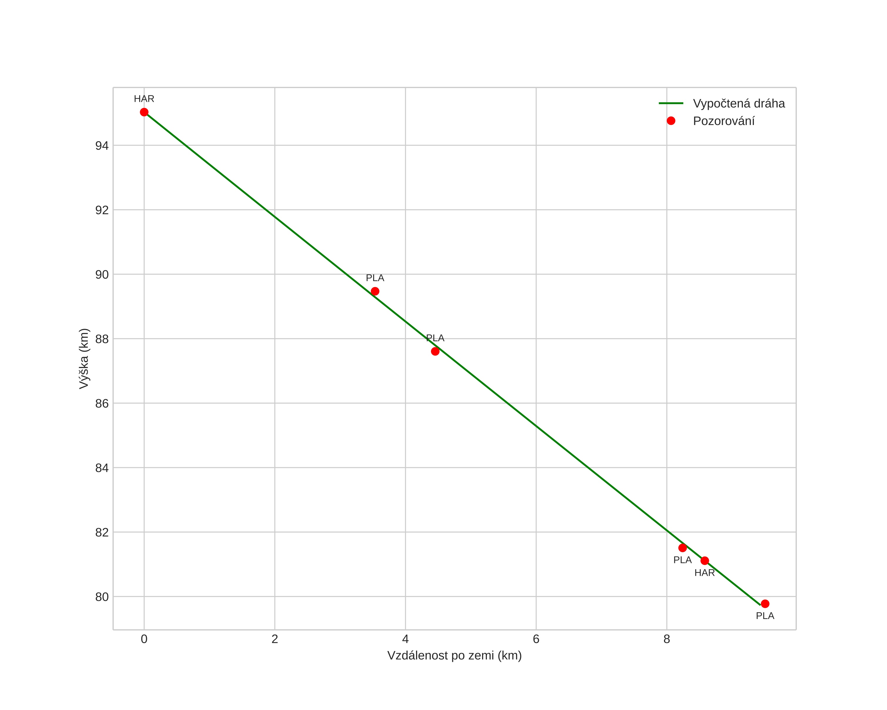
height profile
Atmosférická dráha meteoru:
Počáteční výška: 94,9 km
Konečná výška: 79,7 km
Počáteční poloha: 60,899N 11,305E
Konečná poloha: 60,984N 11,284E
Směr: 353,0°
Sklon: 58,1°
VstupnĂ­ rychlost: 23,0 km/s
Rektascenze radiantu: 02:12 (33,1°)
Deklinace radiantu: 26,7°
MeteorickĂ˝ roj: sporadickĂ˝
Elementy dráhy meteoroidu:
Vzdálenost v periheliu: 0,635 AU
Excentricita: 0,707
Sklon dráhy: 8,1°
Délka vzestupného uzlu: 222,6°
Argument perihelia: 262,4°
Střední anomálie: 346,1°
Epocha: 2024 NOV 04 22:15:32
orbit plot

NeinteraktivnĂ­ graf | InteraktivnĂ­ graf

position vs time
speed and acceleration

Plassen (PLA) cam5

gnomonic
Videa
Obrázky
• Původní
Textové soubory
• Detekce
• Pozorování
• Souřadnice
• Protokol
Jasnost

Plassen (PLA) cam7

gnomonic
Videa
Obrázky
• Původní
Textové soubory
• Detekce
• Pozorování
• Souřadnice
• Protokol
Jasnost