🇳🇴 🇬🇧 🇩🇪 🇨🇿 🇫🇮

Meteor über Rena 2024-11-04 22:15:32 UTC

KML-Datei  |  Interaktive Karte

Die Karte zeigt die Peilungen für den Meteor. Die helleren Linien zeigen die Richtungen von den Beobachtungsorten beim Erscheinen des Meteors, und die dunkleren Linien, wo er zuletzt gesehen wurde. Der blaue Pfeil zeigt die sichtbare Bahn des Meteors.

static map
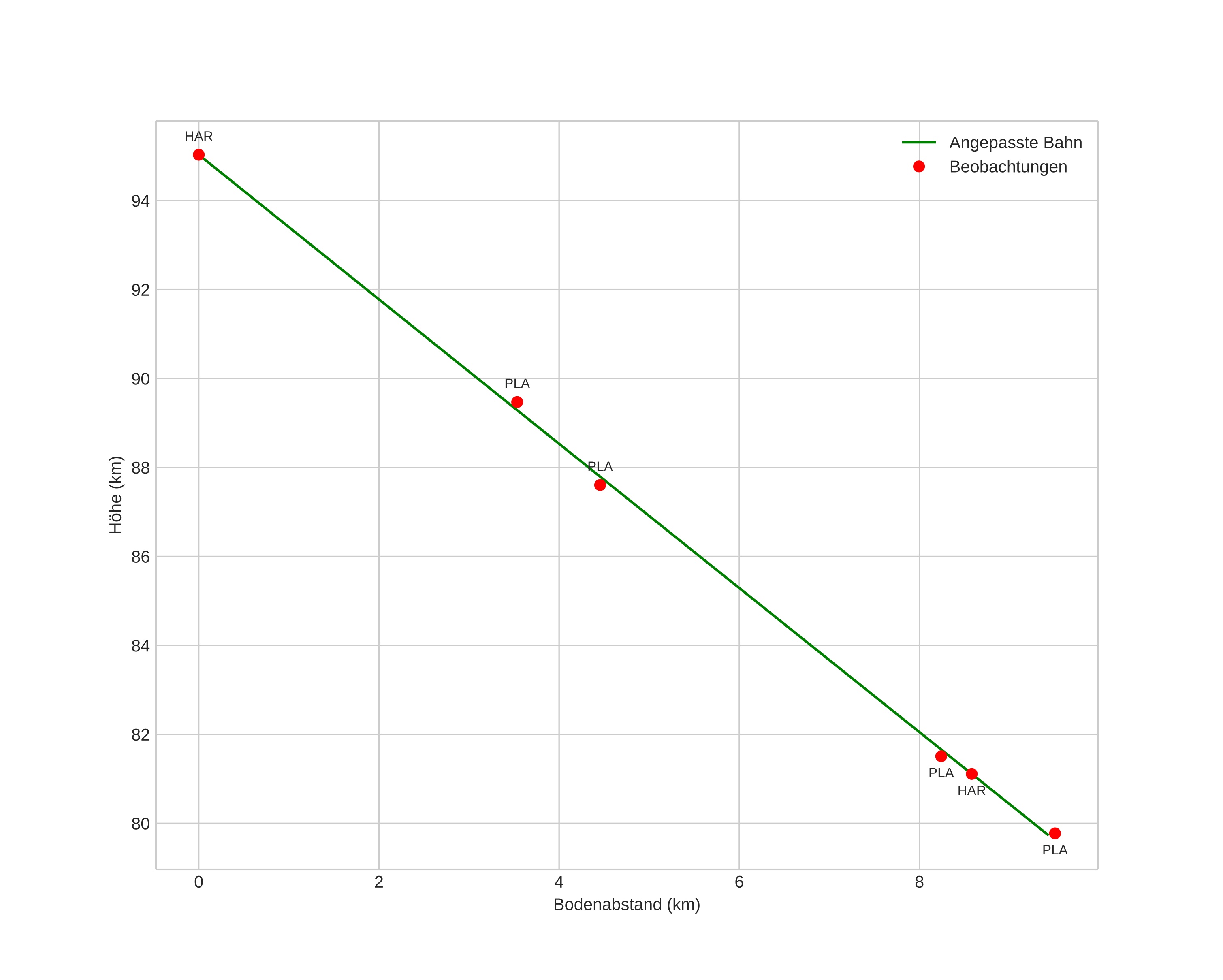
height profile
Atmosphärische Bahn des Meteors:
Anfangshöhe: 94,9 km
Endhöhe: 79,7 km
Startposition: 60,899N 11,305E
Endposition: 60,984N 11,284E
Richtung: 353,0°
Neigungswinkel: 58,1°
Eintrittsgeschwindigkeit: 23,0 km/s
Rektaszension des Radianten: 02:12 (33,1°)
Deklination des Radianten: 26,7°
Meteorstrom: sporadisch
Bahnelemente des Meteoroiden:
Periheldistanz: 0,635 AU
Exzentrizität: 0,707
Inklination: 8,1°
Länge des aufsteigenden Knotens: 222,6°
Argument des Perihels: 262,4°
Mittlere Anomalie: 346,1°
Epoche: 2024 NOV 04 22:15:32
orbit plot

Nicht-interaktives Diagramm | Interaktives Diagramm

position vs time
speed and acceleration

Plassen (PLA) cam5

gnomonic
Videos
Bilder
• Original
Textdateien
• Erkennung
• Beobachtung
• Koordinaten
• Protokoll
Helligkeit

Plassen (PLA) cam7

gnomonic
Videos
Bilder
• Original
Textdateien
• Erkennung
• Beobachtung
• Koordinaten
• Protokoll
Helligkeit