🇳🇴 🇬🇧 🇩🇪 🇨🇿 🇫🇮

Meteor Renan yllä 2024-11-04 22:15:32 UTC

KML-tiedosto  |  Interaktiivinen kartta

Kartta näyttää meteorin suuntahavainnot. Vaaleammat viivat näyttävät suunnat havaintoasemilta meteorin ilmestyessä, ja tummemmat viivat näyttävät, missä se viimeksi nähtiin. Sininen nuoli näyttää meteorin näkyvän lennon.

static map
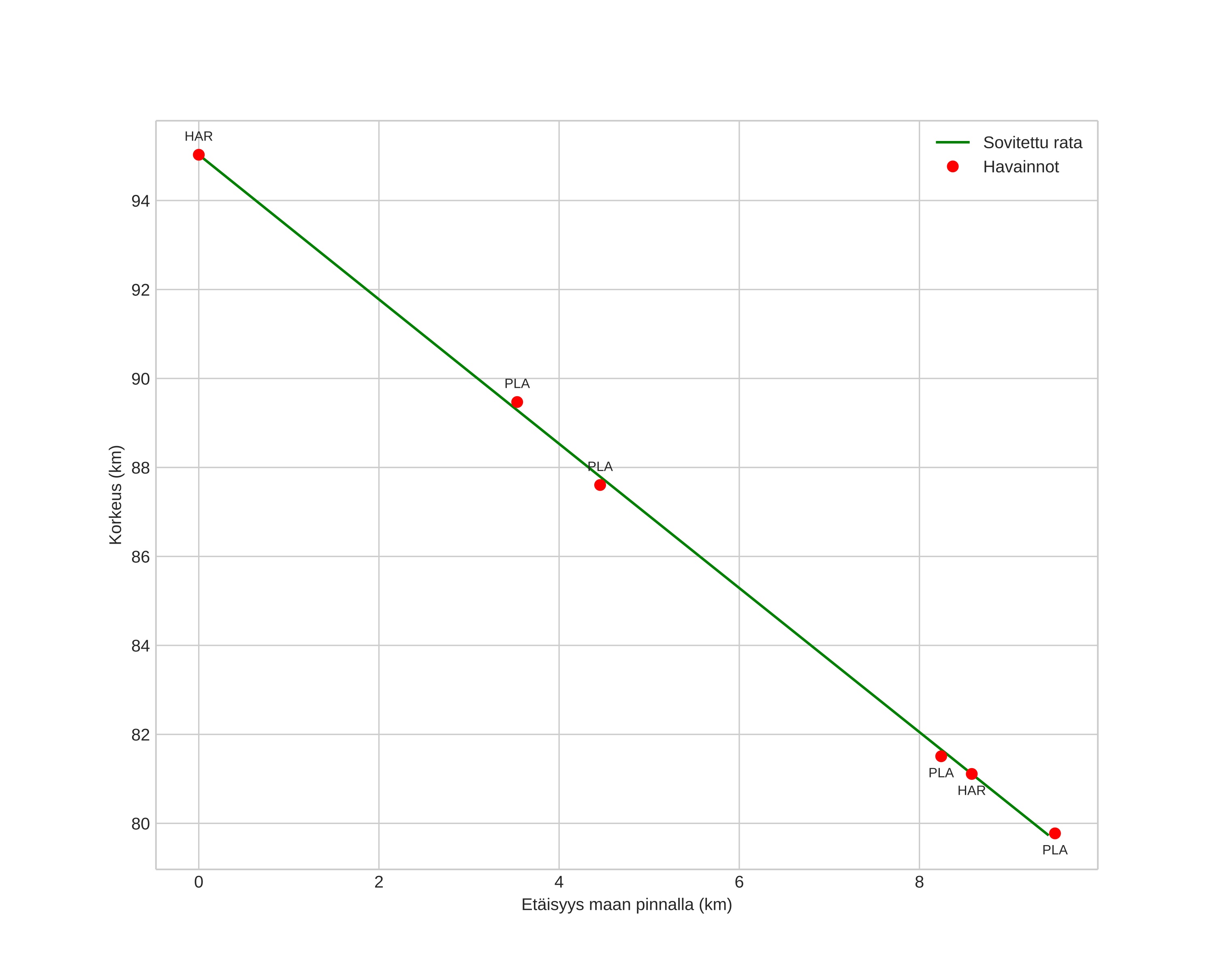
height profile
Meteorin ilmakehärata:
Alkukorkeus: 94,9 km
Loppukorkeus: 79,7 km
Alkupiste: 60,899N 11,305E
Loppupiste: 60,984N 11,284E
Suunta: 353,0°
Kallistuskulma: 58,1°
Tulonopeus: 23,0 km/s
Radiantin R,A,: 02:12 (33,1°)
Radiantin Dekl,: 26,7°
Meteoriparvi: Sporadinen
Meteoroidin rataelementit:
Perihelietäisyys: 0,635 AU
Eksentrisyys: 0,707
Inklinaatio: 8,1°
Nousevan solmun pituus: 222,6°
Perihelin argumentti: 262,4°
Keskianomalia: 346,1°
Epookki: 2024 NOV 04 22:15:32
orbit plot

Ei-interaktiivinen kuvaaja | Interaktiivinen kuvaaja

position vs time
speed and acceleration

Plassen (PLA) cam5

gnomonic
Videot:
Kuvat:
• Alkuperäinen
Tekstitiedostot:
• Havaintoraportti
• Observaatio
• Koordinaatit
• Loki
Kirkkaus

Plassen (PLA) cam7

gnomonic
Videot:
Kuvat:
• Alkuperäinen
Tekstitiedostot:
• Havaintoraportti
• Observaatio
• Koordinaatit
• Loki
Kirkkaus