🇳🇴 🇬🇧 🇩🇪 🇨🇿 🇫🇮

Meteor, poloha: Hagfors 2024-11-13 05:07:33 UTC

Soubor KML  |  InteraktivnĂ­ mapa

Mapa zobrazuje dráhy meteoru. Světlejší čáry ukazují směry od pozorovacích stanic při objevení se meteoru a tmavší čáry, kde byl naposledy viděn. Modrá šipka značí viditelnou dráhu meteoru.

static map
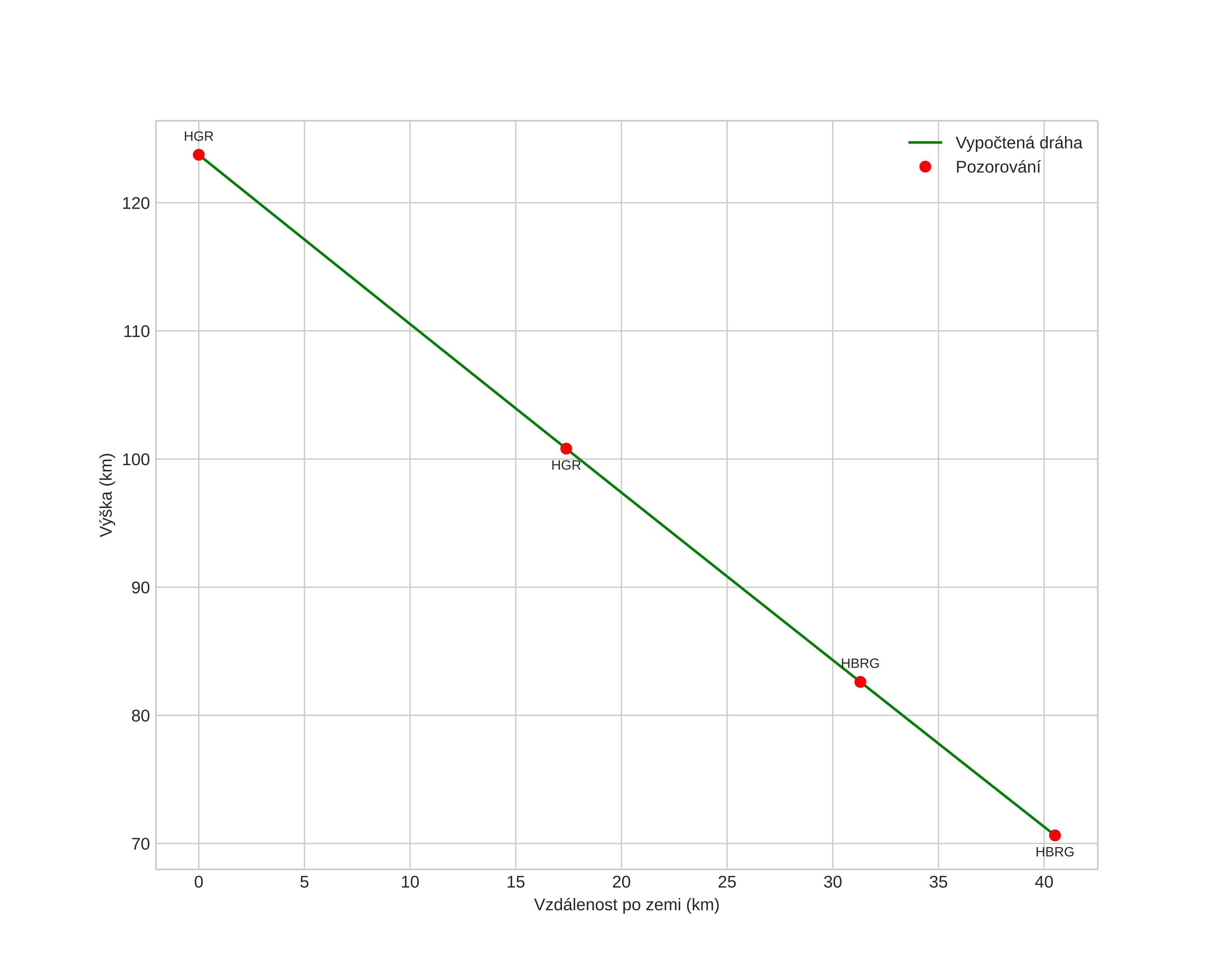
height profile
Atmosférická dráha meteoru:
Počáteční výška: 121,2 km
Konečná výška: 73,4 km
Počáteční poloha: 59,614N 14,071E
Konečná poloha: 59,931N 13,907E
Směr: 345,5°
Sklon: 52,7°
VstupnĂ­ rychlost: 84,5 km/s
Rektascenze radiantu: 10:10 (152,7°)
Deklinace radiantu: 22,8°
MeteorickĂ˝ roj: Leonidy
Elementy dráhy meteoroidu:
Vzdálenost v periheliu: 0,976 AU
Excentricita: 2,312
Sklon dráhy: 163,2°
Délka vzestupného uzlu: 231,0°
Argument perihelia: 168,7°
Střední anomálie: 9,4°
Epocha: 2024 NOV 13 05:07:33
orbit plot

NeinteraktivnĂ­ graf | InteraktivnĂ­ graf

position vs time
speed and acceleration