🇳🇴 🇬🇧 🇩🇪 🇨🇿 🇫🇮

Meteor über Hagfors 2024-11-13 05:07:33 UTC

KML-Datei  |  Interaktive Karte

Die Karte zeigt die Peilungen für den Meteor. Die helleren Linien zeigen die Richtungen von den Beobachtungsorten beim Erscheinen des Meteors, und die dunkleren Linien, wo er zuletzt gesehen wurde. Der blaue Pfeil zeigt die sichtbare Bahn des Meteors.

static map
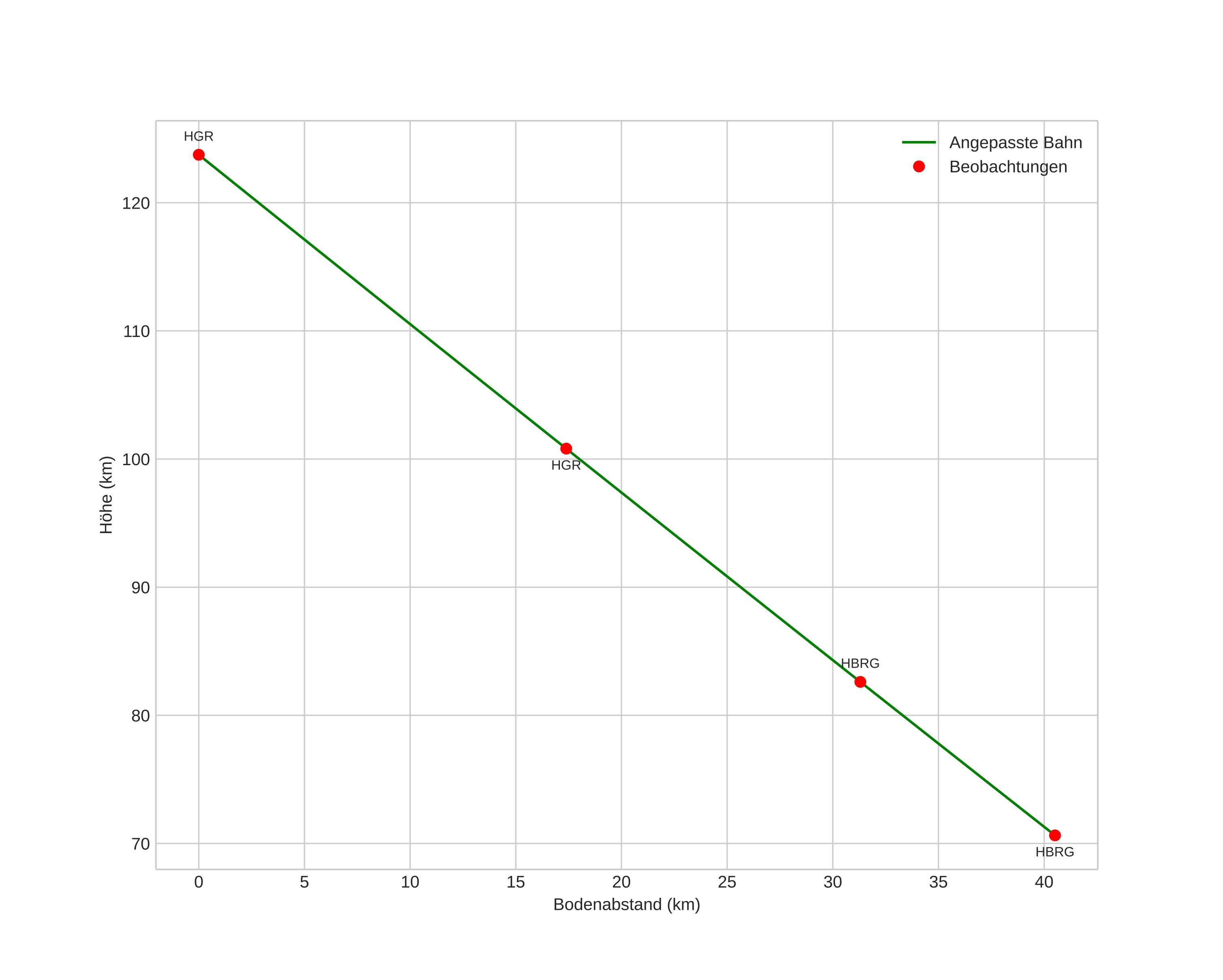
height profile
Atmosphärische Bahn des Meteors:
Anfangshöhe: 121,2 km
Endhöhe: 73,4 km
Startposition: 59,614N 14,071E
Endposition: 59,931N 13,907E
Richtung: 345,5°
Neigungswinkel: 52,7°
Eintrittsgeschwindigkeit: 84,5 km/s
Rektaszension des Radianten: 10:10 (152,7°)
Deklination des Radianten: 22,8°
Meteorstrom: Leoniden
Bahnelemente des Meteoroiden:
Periheldistanz: 0,976 AU
Exzentrizität: 2,312
Inklination: 163,2°
Länge des aufsteigenden Knotens: 231,0°
Argument des Perihels: 168,7°
Mittlere Anomalie: 9,4°
Epoche: 2024 NOV 13 05:07:33
orbit plot

Nicht-interaktives Diagramm | Interaktives Diagramm

position vs time
speed and acceleration