🇳🇴 🇬🇧 🇩🇪 🇨🇿 🇫🇮

Meteor Hagforsin yllä 2024-11-13 05:07:33 UTC

KML-tiedosto  |  Interaktiivinen kartta

Kartta näyttää meteorin suuntahavainnot. Vaaleammat viivat näyttävät suunnat havaintoasemilta meteorin ilmestyessä, ja tummemmat viivat näyttävät, missä se viimeksi nähtiin. Sininen nuoli näyttää meteorin näkyvän lennon.

static map
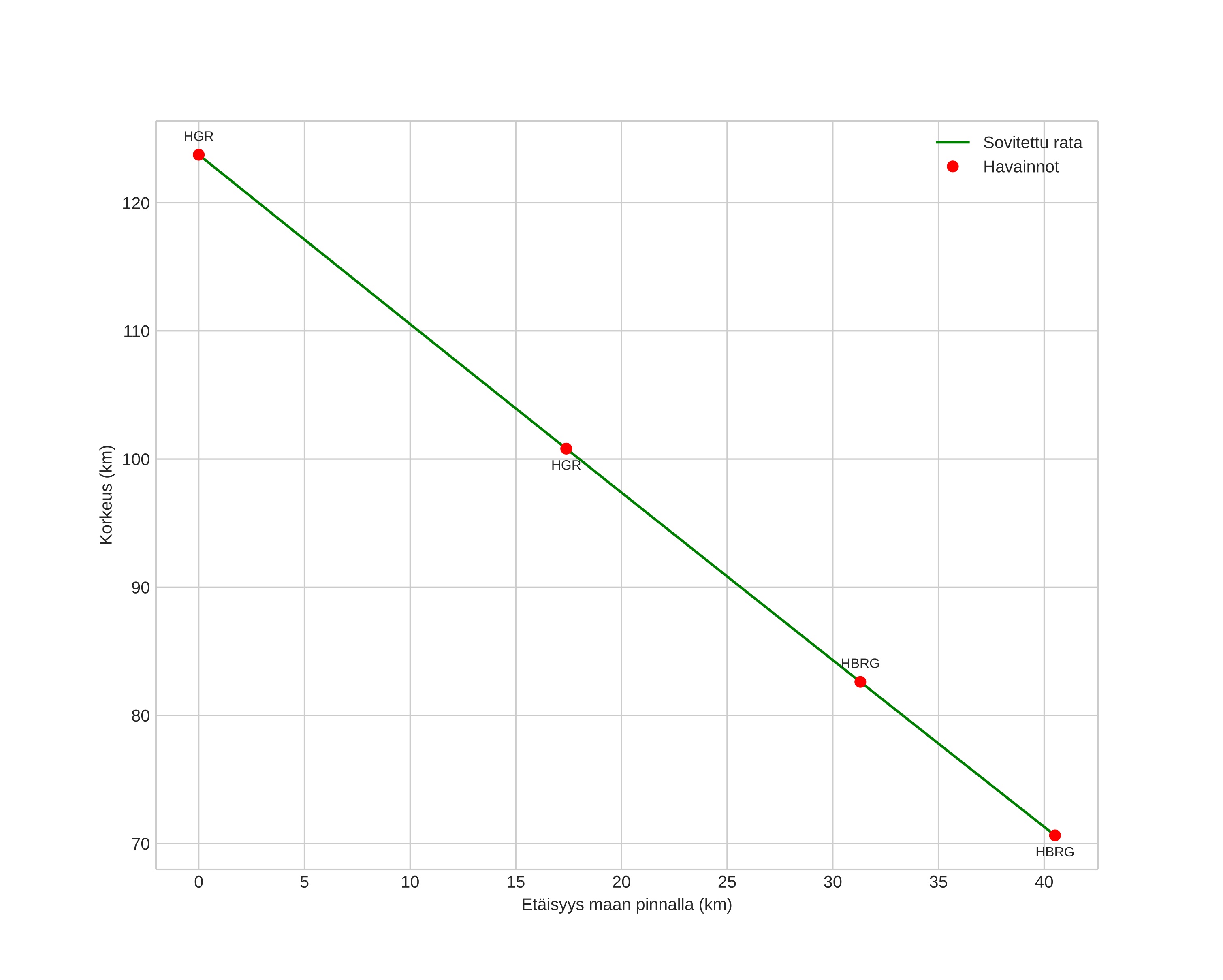
height profile
Meteorin ilmakehärata:
Alkukorkeus: 121,2 km
Loppukorkeus: 73,4 km
Alkupiste: 59,614N 14,071E
Loppupiste: 59,931N 13,907E
Suunta: 345,5°
Kallistuskulma: 52,7°
Tulonopeus: 84,5 km/s
Radiantin R,A,: 10:10 (152,7°)
Radiantin Dekl,: 22,8°
Meteoriparvi: Leonidit
Meteoroidin rataelementit:
Perihelietäisyys: 0,976 AU
Eksentrisyys: 2,312
Inklinaatio: 163,2°
Nousevan solmun pituus: 231,0°
Perihelin argumentti: 168,7°
Keskianomalia: 9,4°
Epookki: 2024 NOV 13 05:07:33
orbit plot

Ei-interaktiivinen kuvaaja | Interaktiivinen kuvaaja

position vs time
speed and acceleration