🇳🇴 🇬🇧 🇩🇪 🇨🇿 🇫🇮

Meteor, poloha: VĂĄler 2024-11-16 04:45:06 UTC

Soubor KML  |  InteraktivnĂ­ mapa

Mapa zobrazuje dráhy meteoru. Světlejší čáry ukazují směry od pozorovacích stanic při objevení se meteoru a tmavší čáry, kde byl naposledy viděn. Modrá šipka značí viditelnou dráhu meteoru.

static map
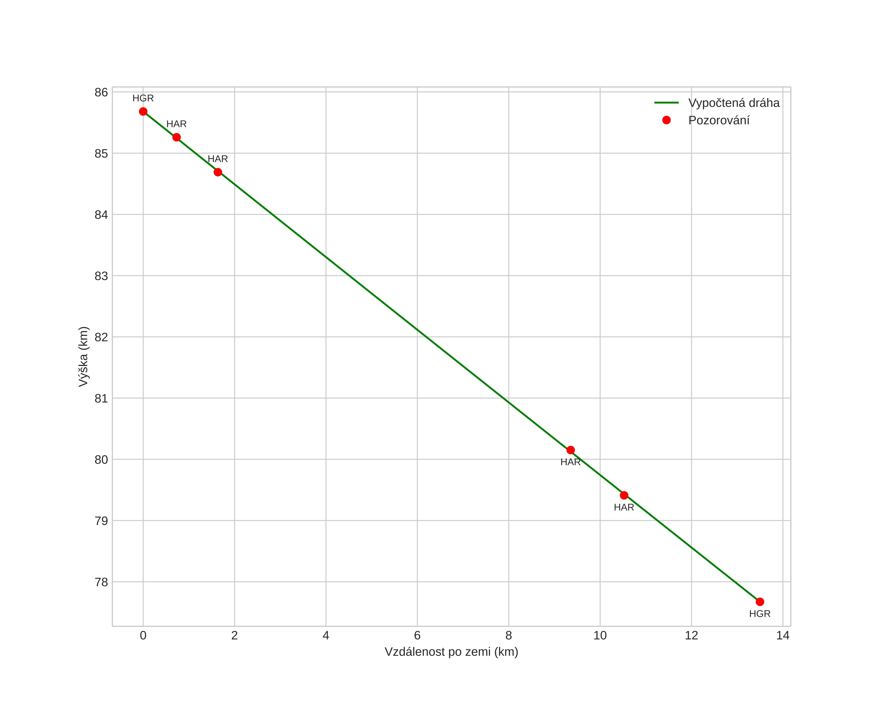
height profile
Atmosférická dráha meteoru:
Počáteční výška: 85,4 km
Konečná výška: 77,9 km
Počáteční poloha: 60,781N 11,508E
Konečná poloha: 60,778N 11,745E
Směr: 91,2°
Sklon: 30,2°
VstupnĂ­ rychlost: 29,1 km/s
Rektascenze radiantu: 04:05 (61,4°)
Deklinace radiantu: 24,1°
MeteorickĂ˝ roj: SevernĂ­ Tauridy
Elementy dráhy meteoroidu:
Vzdálenost v periheliu: 0,393 AU
Excentricita: 0,814
Sklon dráhy: 3,4°
Délka vzestupného uzlu: 233,9°
Argument perihelia: 290,1°
Střední anomálie: 346,1°
Epocha: 2024 NOV 16 04:45:06
orbit plot

NeinteraktivnĂ­ graf | InteraktivnĂ­ graf

position vs time
speed and acceleration