🇳🇴 🇬🇧 🇩🇪 🇨🇿 🇫🇮

Meteor Vålerin yllä 2024-11-16 04:45:06 UTC

KML-tiedosto  |  Interaktiivinen kartta

Kartta näyttää meteorin suuntahavainnot. Vaaleammat viivat näyttävät suunnat havaintoasemilta meteorin ilmestyessä, ja tummemmat viivat näyttävät, missä se viimeksi nähtiin. Sininen nuoli näyttää meteorin näkyvän lennon.

static map
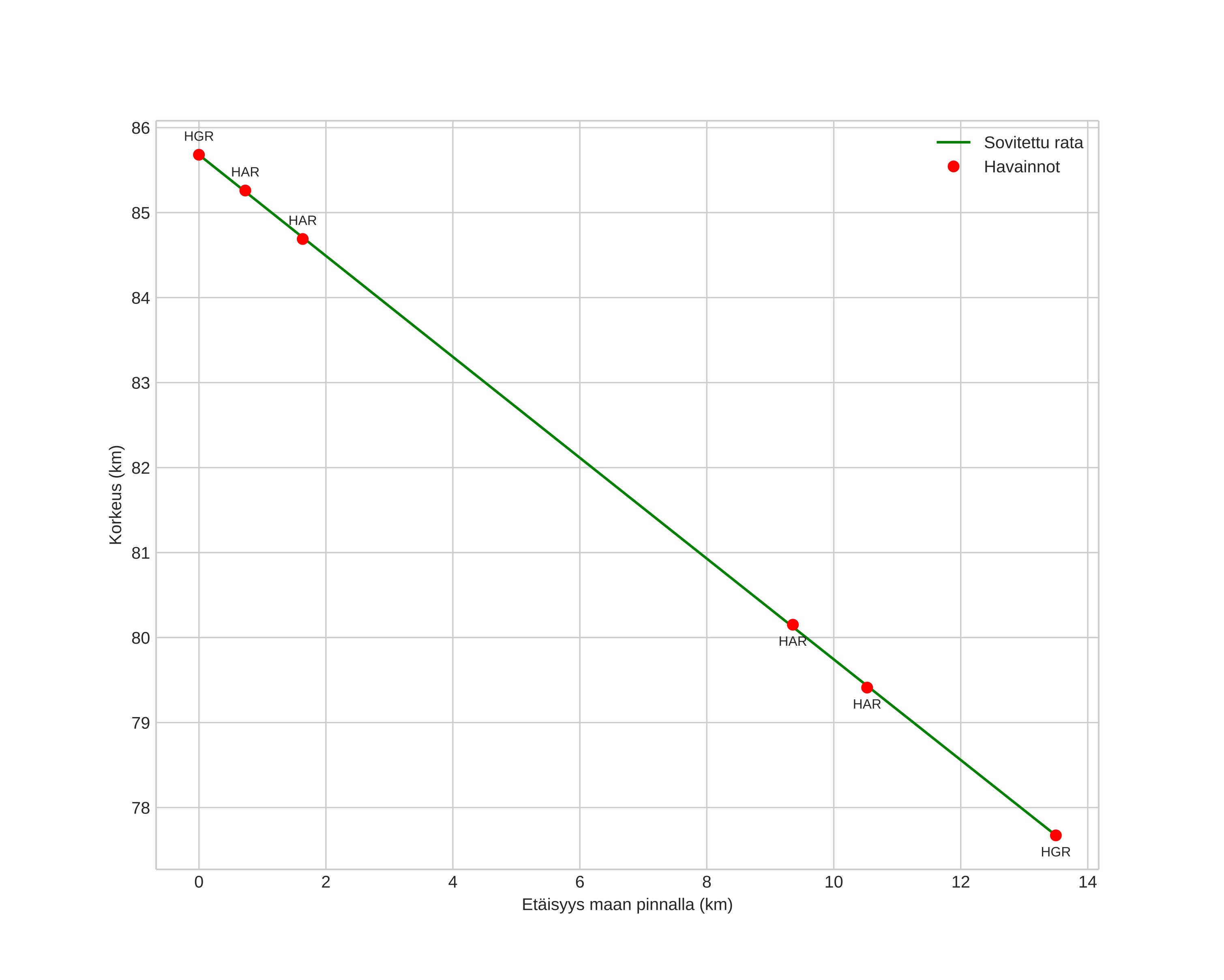
height profile
Meteorin ilmakehärata:
Alkukorkeus: 85,4 km
Loppukorkeus: 77,9 km
Alkupiste: 60,781N 11,508E
Loppupiste: 60,778N 11,745E
Suunta: 91,2°
Kallistuskulma: 30,2°
Tulonopeus: 29,1 km/s
Radiantin R,A,: 04:05 (61,4°)
Radiantin Dekl,: 24,1°
Meteoriparvi: Pohjoiset tauridit
Meteoroidin rataelementit:
Perihelietäisyys: 0,393 AU
Eksentrisyys: 0,814
Inklinaatio: 3,4°
Nousevan solmun pituus: 233,9°
Perihelin argumentti: 290,1°
Keskianomalia: 346,1°
Epookki: 2024 NOV 16 04:45:06
orbit plot

Ei-interaktiivinen kuvaaja | Interaktiivinen kuvaaja

position vs time
speed and acceleration