🇳🇴 🇬🇧 🇩🇪 🇨🇿 🇫🇮

Meteor über Våler 2024-11-16 04:45:06 UTC

KML-Datei  |  Interaktive Karte

Die Karte zeigt die Peilungen für den Meteor. Die helleren Linien zeigen die Richtungen von den Beobachtungsorten beim Erscheinen des Meteors, und die dunkleren Linien, wo er zuletzt gesehen wurde. Der blaue Pfeil zeigt die sichtbare Bahn des Meteors.

static map
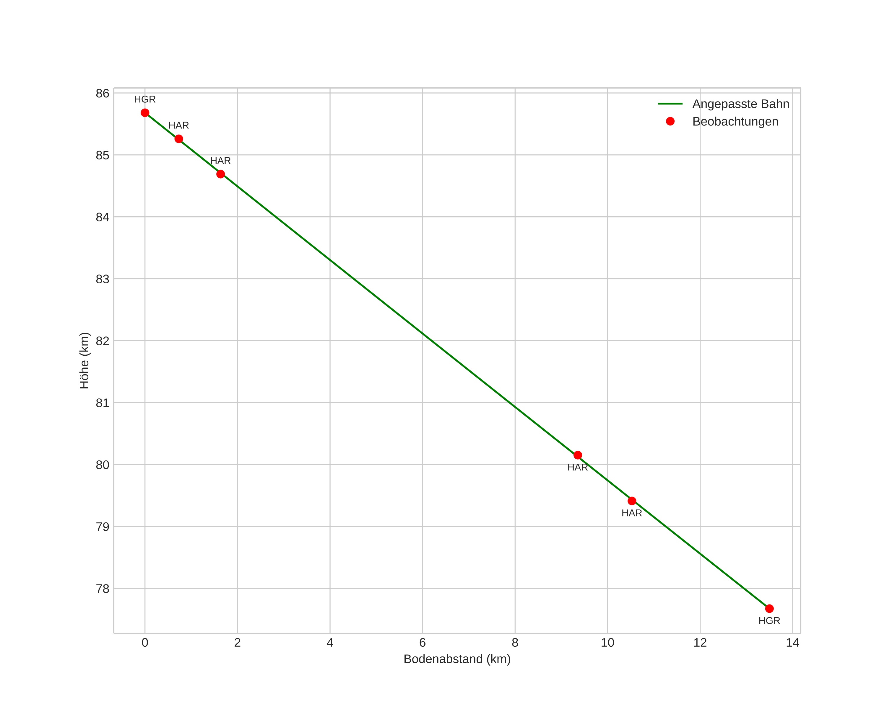
height profile
Atmosphärische Bahn des Meteors:
Anfangshöhe: 85,4 km
Endhöhe: 77,9 km
Startposition: 60,781N 11,508E
Endposition: 60,778N 11,745E
Richtung: 91,2°
Neigungswinkel: 30,2°
Eintrittsgeschwindigkeit: 29,1 km/s
Rektaszension des Radianten: 04:05 (61,4°)
Deklination des Radianten: 24,1°
Meteorstrom: Nördliche Tauriden
Bahnelemente des Meteoroiden:
Periheldistanz: 0,393 AU
Exzentrizität: 0,814
Inklination: 3,4°
Länge des aufsteigenden Knotens: 233,9°
Argument des Perihels: 290,1°
Mittlere Anomalie: 346,1°
Epoche: 2024 NOV 16 04:45:06
orbit plot

Nicht-interaktives Diagramm | Interaktives Diagramm

position vs time
speed and acceleration