🇳🇴 🇬🇧 🇩🇪 🇨🇿 🇫🇮

Meteor, poloha: Lidköping 2024-11-16 20:29:54 UTC

Soubor KML  |  InteraktivnĂ­ mapa

Mapa zobrazuje dráhy meteoru. Světlejší čáry ukazují směry od pozorovacích stanic při objevení se meteoru a tmavší čáry, kde byl naposledy viděn. Modrá šipka značí viditelnou dráhu meteoru.

static map
height profile
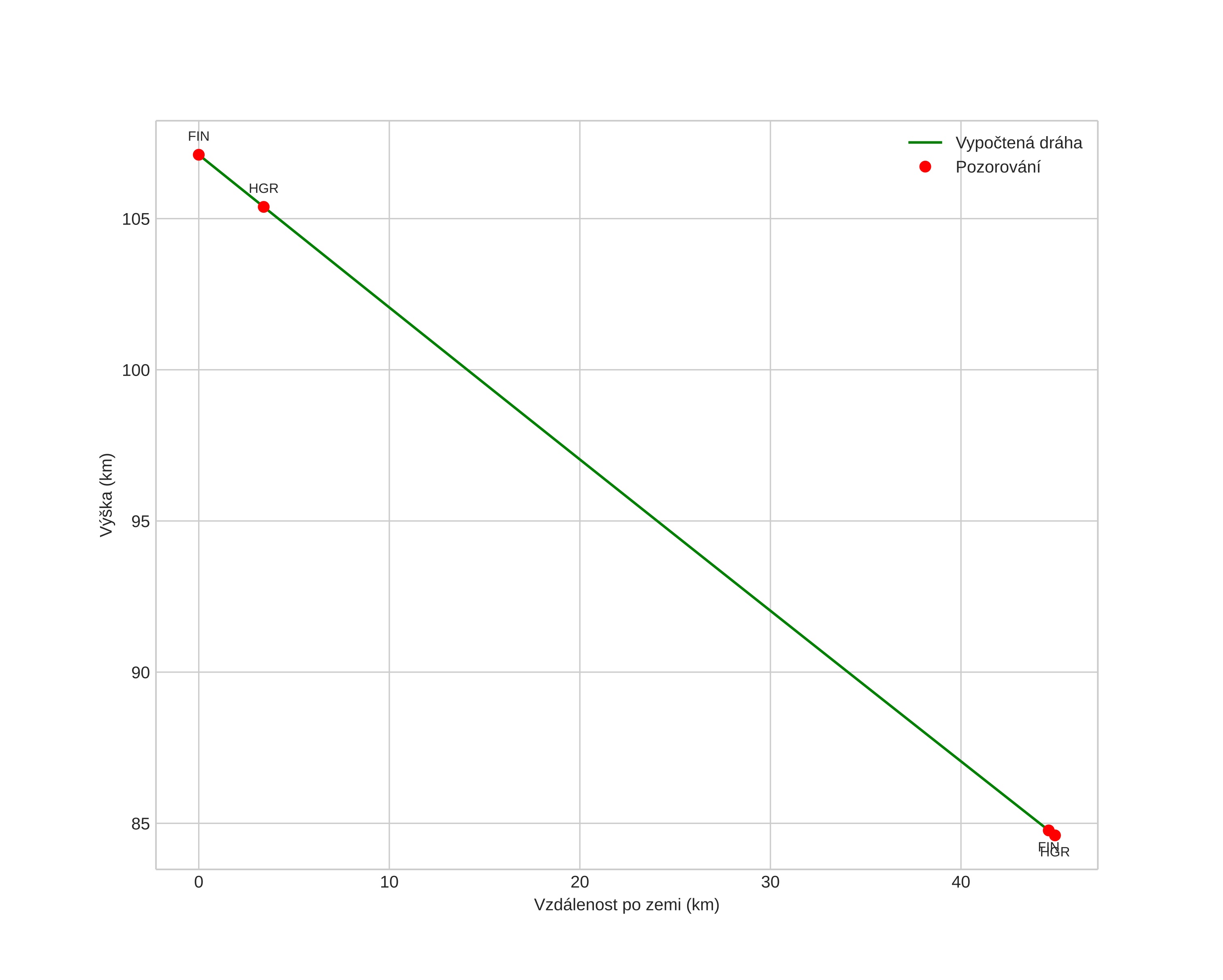
Atmosférická dráha meteoru:
Počáteční výška: 107,6 km
Konečná výška: 84,6 km
Počáteční poloha: 58,843N 13,569E
Konečná poloha: 58,566N 12,981E
Směr: 228,1°
Sklon: 26,7°
VstupnĂ­ rychlost: 64,9 km/s
Rektascenze radiantu: 08:40 (130,1°)
Deklinace radiantu: 43,6°
MeteorickĂ˝ roj: sporadickĂ˝
Elementy dráhy meteoroidu:
Vzdálenost v periheliu: 0,674 AU
Excentricita: 0,996
Sklon dráhy: 131,2°
Délka vzestupného uzlu: 234,6°
Argument perihelia: 248,8°
Střední anomálie: 360,0°
Epocha: 2024 NOV 16 20:29:54
orbit plot

NeinteraktivnĂ­ graf | InteraktivnĂ­ graf

position vs time
speed and acceleration