🇳🇴 🇬🇧 🇩🇪 🇨🇿 🇫🇮

Meteor over Lidköping 2024-11-16 20:29:54 UTC

KML file  |  Interactive map

The map shows the bearings for the meteor. The lighter lines show the directions from the observation sites at the meteor's appearance, and the darker lines show where it was last seen. The blue arrow indicates the visible path of the meteor.

static map
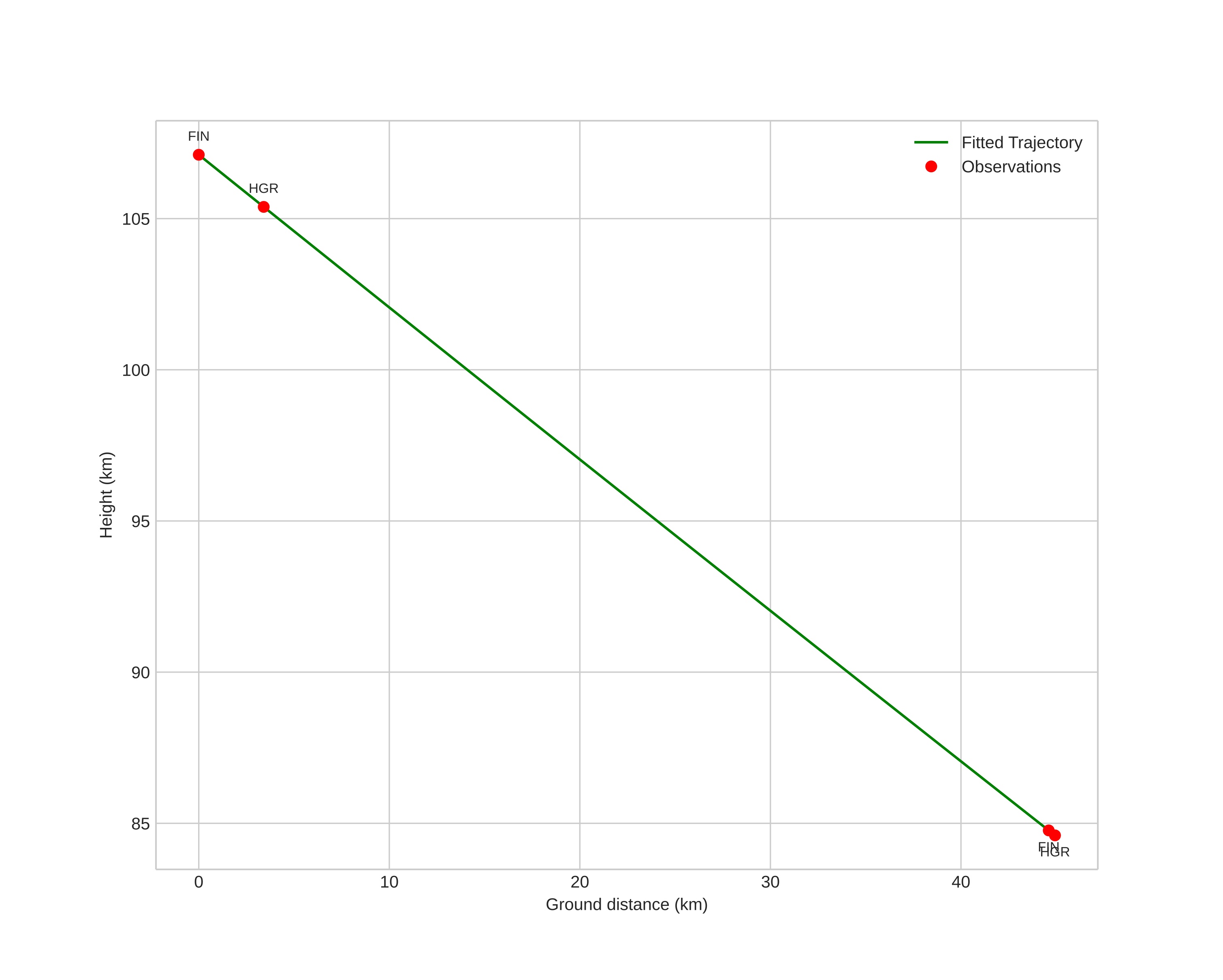
height profile
Meteor's Atmospheric Trajectory:
Start height: 107.6 km
End height: 84.6 km
Start position: 58.843N 13.569E
End position: 58.566N 12.981E
Direction: 228.1°
Inclination angle: 26.7°
Entry speed: 64.9 km/s
Radiant R.A.: 08:40 (130.1°)
Radiant Dec.: 43.6°
Meteor Shower: sporadic
Meteoroid's Orbital Elements:
Perihelion distance: 0.674 AU
Eccentricity: 0.996
Inclination: 131.2°
Long. of Asc. Node: 234.6°
Argument of Perihelion: 248.8°
Mean Anomaly: 360.0°
Epoch: 2024 NOV 16 20:29:54
orbit plot

Non-interactive plot | Interactive plot

position vs time
speed and acceleration

Finnskogen (FIN) cam4


gnomonic
Videos
• Gnomonic
• Gnomonic with coordinates
• Original
• Original with coordinates
Images
• Gnomonic
• Gnomonic with coordinates
• Uncorrected gnomonic with coordinates
• Gnomonic with labels
• Uncorrected gnomonic with labels
• Original
• Original with coordinates
Text Files
• Detection
• Observation
• Coordinates
• Log
Brightness

Hagar (HGR) cam4


gnomonic
Videos
• Gnomonic
• Gnomonic with coordinates
• Original
• Original with coordinates
Images
• Gnomonic
• Gnomonic with coordinates
• Uncorrected gnomonic with coordinates
• Gnomonic with labels
• Uncorrected gnomonic with labels
• Original
• Original with coordinates
Text Files
• Detection
• Observation
• Coordinates
• Log
Brightness