🇳🇴 🇬🇧 🇩🇪 🇨🇿 🇫🇮

Meteor Lidköpingin yllä 2024-11-16 20:29:54 UTC

KML-tiedosto  |  Interaktiivinen kartta

Kartta näyttää meteorin suuntahavainnot. Vaaleammat viivat näyttävät suunnat havaintoasemilta meteorin ilmestyessä, ja tummemmat viivat näyttävät, missä se viimeksi nähtiin. Sininen nuoli näyttää meteorin näkyvän lennon.

static map
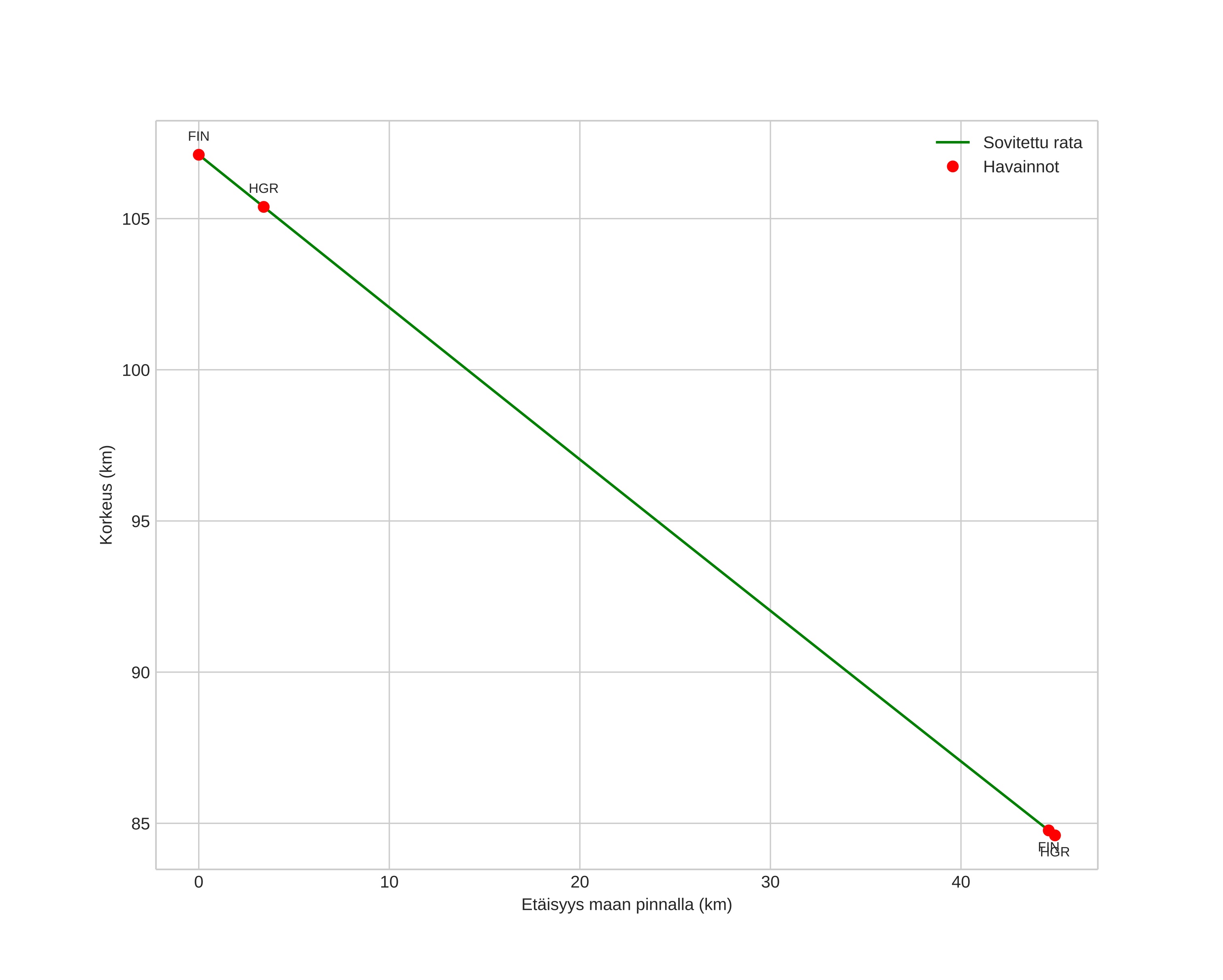
height profile
Meteorin ilmakehärata:
Alkukorkeus: 107,6 km
Loppukorkeus: 84,6 km
Alkupiste: 58,843N 13,569E
Loppupiste: 58,566N 12,981E
Suunta: 228,1°
Kallistuskulma: 26,7°
Tulonopeus: 64,9 km/s
Radiantin R,A,: 08:40 (130,1°)
Radiantin Dekl,: 43,6°
Meteoriparvi: Sporadinen
Meteoroidin rataelementit:
Perihelietäisyys: 0,674 AU
Eksentrisyys: 0,996
Inklinaatio: 131,2°
Nousevan solmun pituus: 234,6°
Perihelin argumentti: 248,8°
Keskianomalia: 360,0°
Epookki: 2024 NOV 16 20:29:54
orbit plot

Ei-interaktiivinen kuvaaja | Interaktiivinen kuvaaja

position vs time
speed and acceleration