🇳🇴 🇬🇧 🇩🇪 🇨🇿 🇫🇮

Meteor, poloha: Sjøvegan 2024-11-20 21:52:55 UTC

Soubor KML  |  InteraktivnĂ­ mapa

Mapa zobrazuje dráhy meteoru. Světlejší čáry ukazují směry od pozorovacích stanic při objevení se meteoru a tmavší čáry, kde byl naposledy viděn. Modrá šipka značí viditelnou dráhu meteoru.

static map
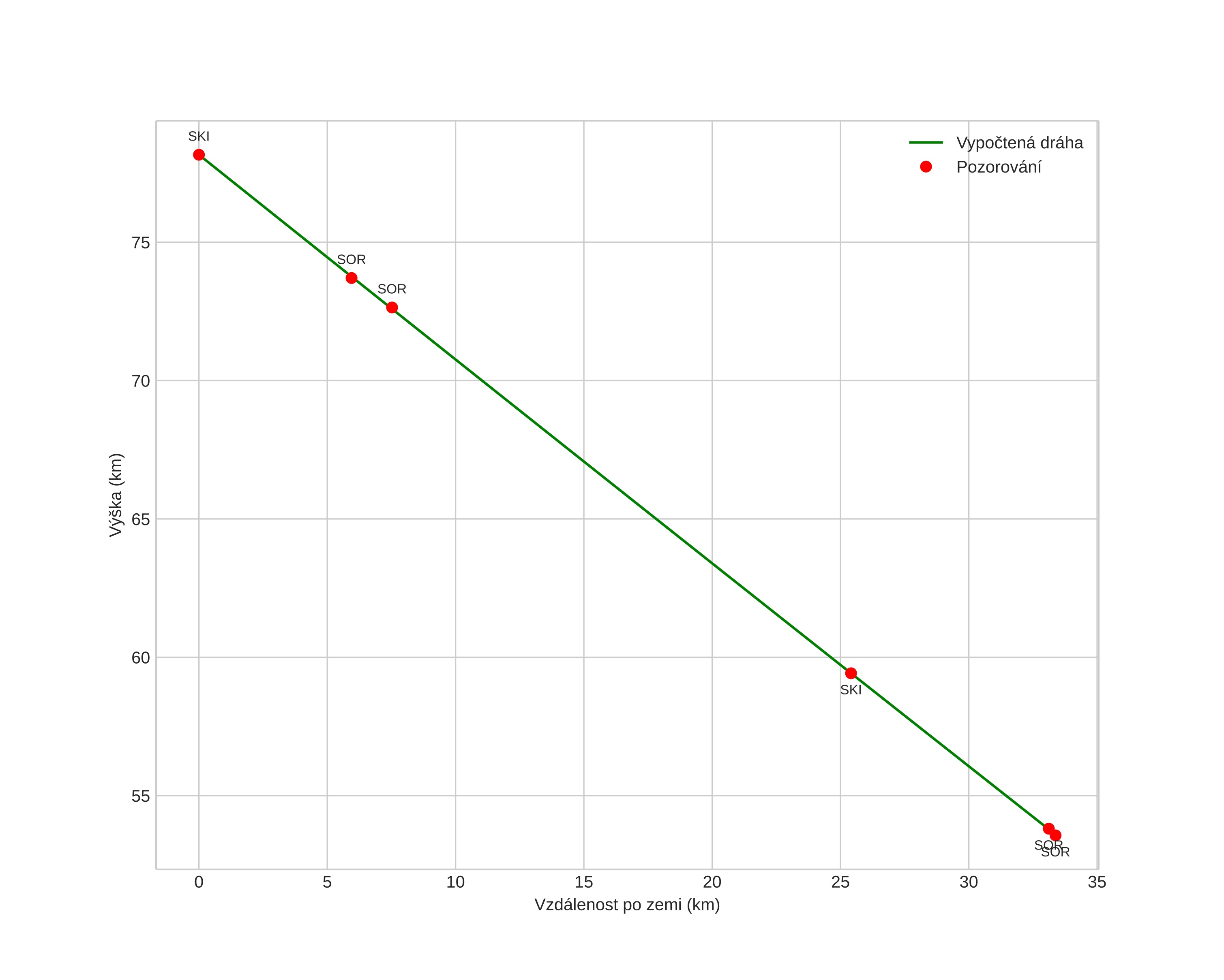
height profile
Atmosférická dráha meteoru:
Počáteční výška: 78,2 km
Konečná výška: 53,6 km
Počáteční poloha: 68,599N 18,124E
Konečná poloha: 68,875N 17,794E
Směr: 336,7°
Sklon: 36,3°
VstupnĂ­ rychlost: 20,3 km/s
Rektascenze radiantu: 04:23 (66,0°)
Deklinace radiantu: 11,2°
MeteorickĂ˝ roj: sporadickĂ˝
Elementy dráhy meteoroidu:
Vzdálenost v periheliu: 0,567 AU
Excentricita: 0,541
Sklon dráhy: 6,1°
Délka vzestupného uzlu: 58,8°
Argument perihelia: 102,3°
Střední anomálie: 320,5°
Epocha: 2024 NOV 20 21:52:55
orbit plot

NeinteraktivnĂ­ graf | InteraktivnĂ­ graf

position vs time
speed and acceleration