🇳🇴 🇬🇧 🇩🇪 🇨🇿 🇫🇮

Meteor Sjøveganin yllä 2024-11-20 21:52:55 UTC

KML-tiedosto  |  Interaktiivinen kartta

Kartta näyttää meteorin suuntahavainnot. Vaaleammat viivat näyttävät suunnat havaintoasemilta meteorin ilmestyessä, ja tummemmat viivat näyttävät, missä se viimeksi nähtiin. Sininen nuoli näyttää meteorin näkyvän lennon.

static map
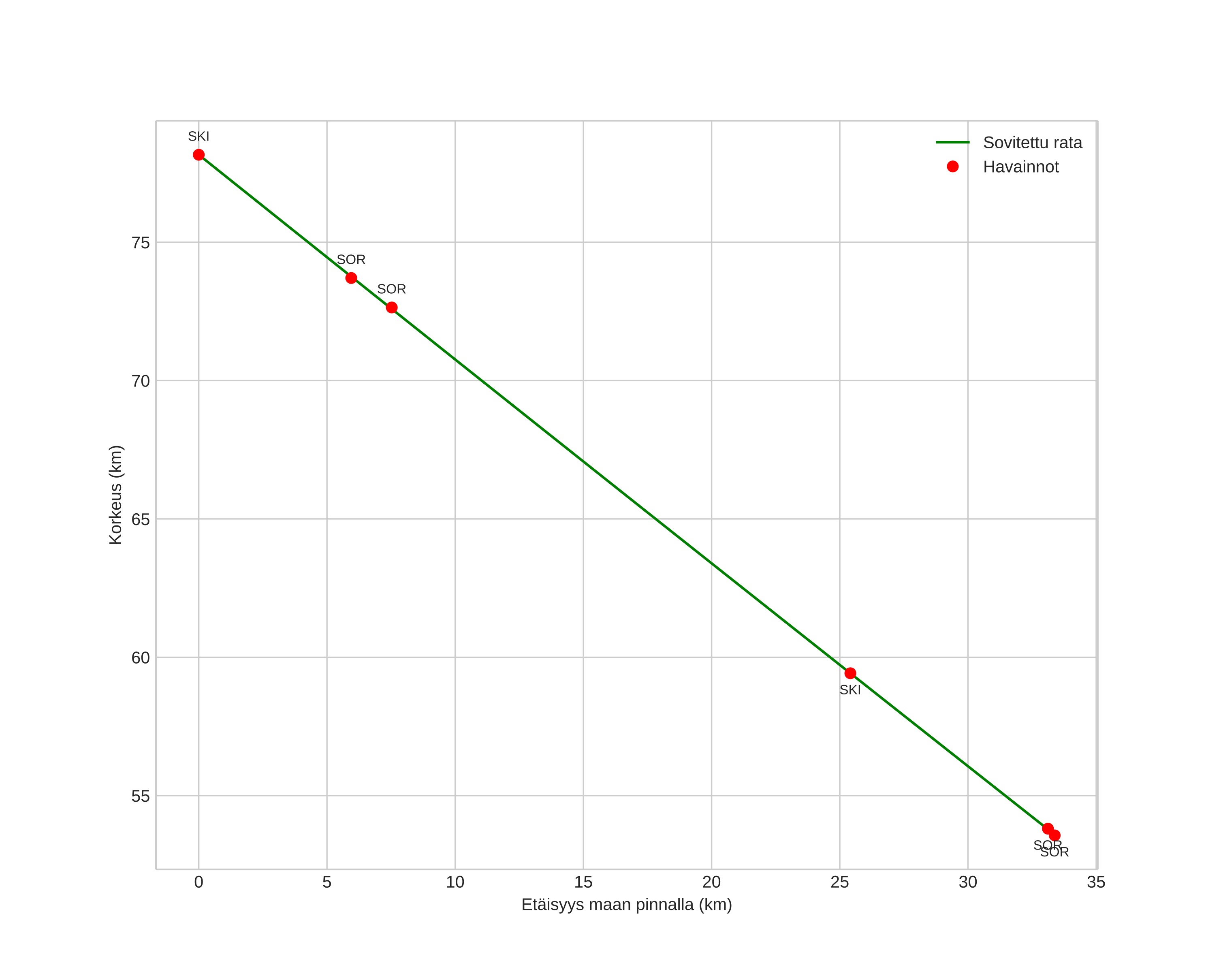
height profile
Meteorin ilmakehärata:
Alkukorkeus: 78,2 km
Loppukorkeus: 53,6 km
Alkupiste: 68,599N 18,124E
Loppupiste: 68,875N 17,794E
Suunta: 336,7°
Kallistuskulma: 36,3°
Tulonopeus: 20,3 km/s
Radiantin R,A,: 04:23 (66,0°)
Radiantin Dekl,: 11,2°
Meteoriparvi: Sporadinen
Meteoroidin rataelementit:
Perihelietäisyys: 0,567 AU
Eksentrisyys: 0,541
Inklinaatio: 6,1°
Nousevan solmun pituus: 58,8°
Perihelin argumentti: 102,3°
Keskianomalia: 320,5°
Epookki: 2024 NOV 20 21:52:55
orbit plot

Ei-interaktiivinen kuvaaja | Interaktiivinen kuvaaja

position vs time
speed and acceleration