🇳🇴 🇬🇧 🇩🇪 🇨🇿 🇫🇮

Meteor über Sjøvegan 2024-11-20 21:52:55 UTC

KML-Datei  |  Interaktive Karte

Die Karte zeigt die Peilungen für den Meteor. Die helleren Linien zeigen die Richtungen von den Beobachtungsorten beim Erscheinen des Meteors, und die dunkleren Linien, wo er zuletzt gesehen wurde. Der blaue Pfeil zeigt die sichtbare Bahn des Meteors.

static map
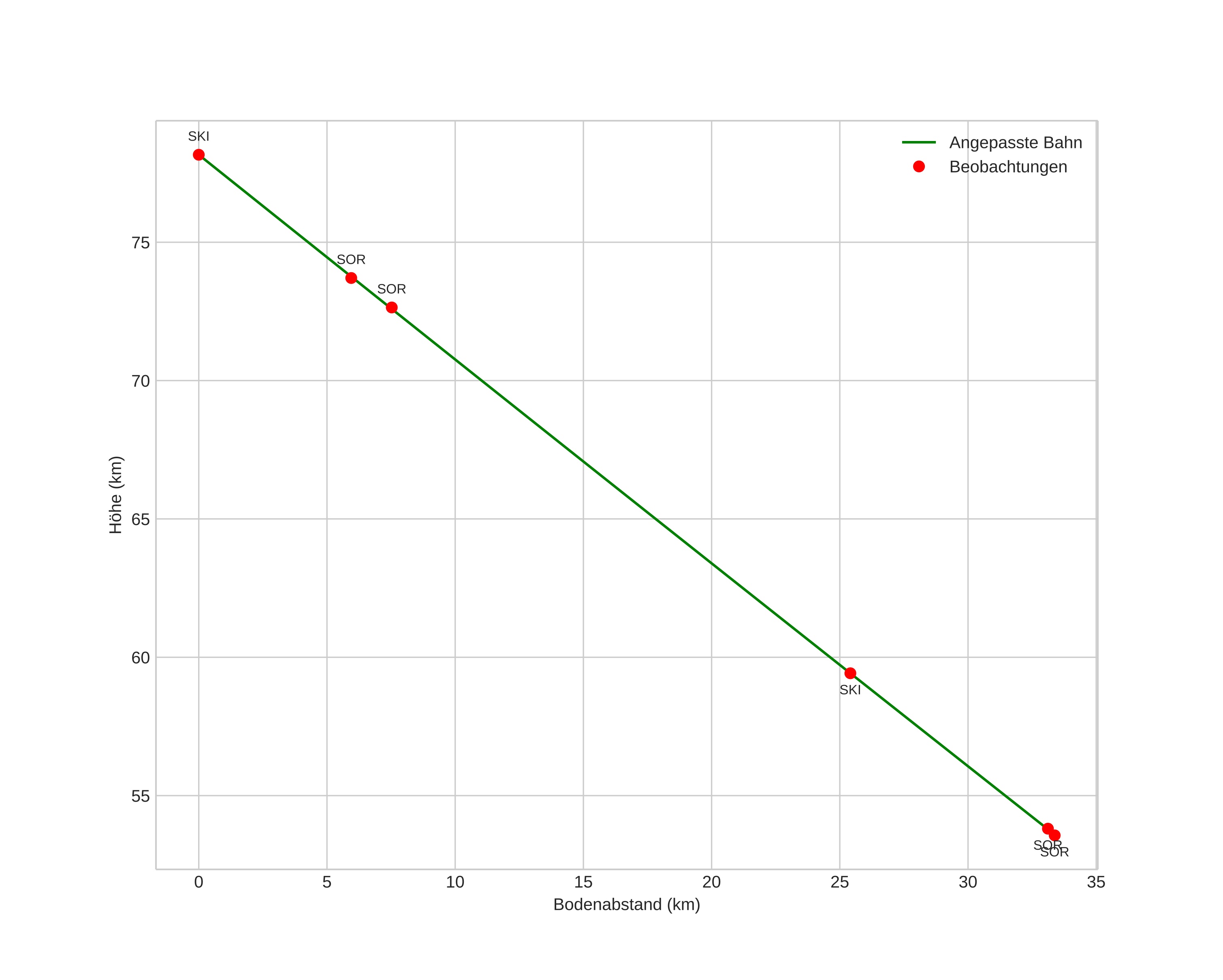
height profile
Atmosphärische Bahn des Meteors:
Anfangshöhe: 78,2 km
Endhöhe: 53,6 km
Startposition: 68,599N 18,124E
Endposition: 68,875N 17,794E
Richtung: 336,7°
Neigungswinkel: 36,3°
Eintrittsgeschwindigkeit: 20,3 km/s
Rektaszension des Radianten: 04:23 (66,0°)
Deklination des Radianten: 11,2°
Meteorstrom: sporadisch
Bahnelemente des Meteoroiden:
Periheldistanz: 0,567 AU
Exzentrizität: 0,541
Inklination: 6,1°
Länge des aufsteigenden Knotens: 58,8°
Argument des Perihels: 102,3°
Mittlere Anomalie: 320,5°
Epoche: 2024 NOV 20 21:52:55
orbit plot

Nicht-interaktives Diagramm | Interaktives Diagramm

position vs time
speed and acceleration