🇳🇴 🇬🇧 🇩🇪 🇨🇿 🇫🇮

Meteor, poloha: Orsa 2024-11-28 21:45:24 UTC

Soubor KML  |  InteraktivnĂ­ mapa

Mapa zobrazuje dráhy meteoru. Světlejší čáry ukazují směry od pozorovacích stanic při objevení se meteoru a tmavší čáry, kde byl naposledy viděn. Modrá šipka značí viditelnou dráhu meteoru.

static map
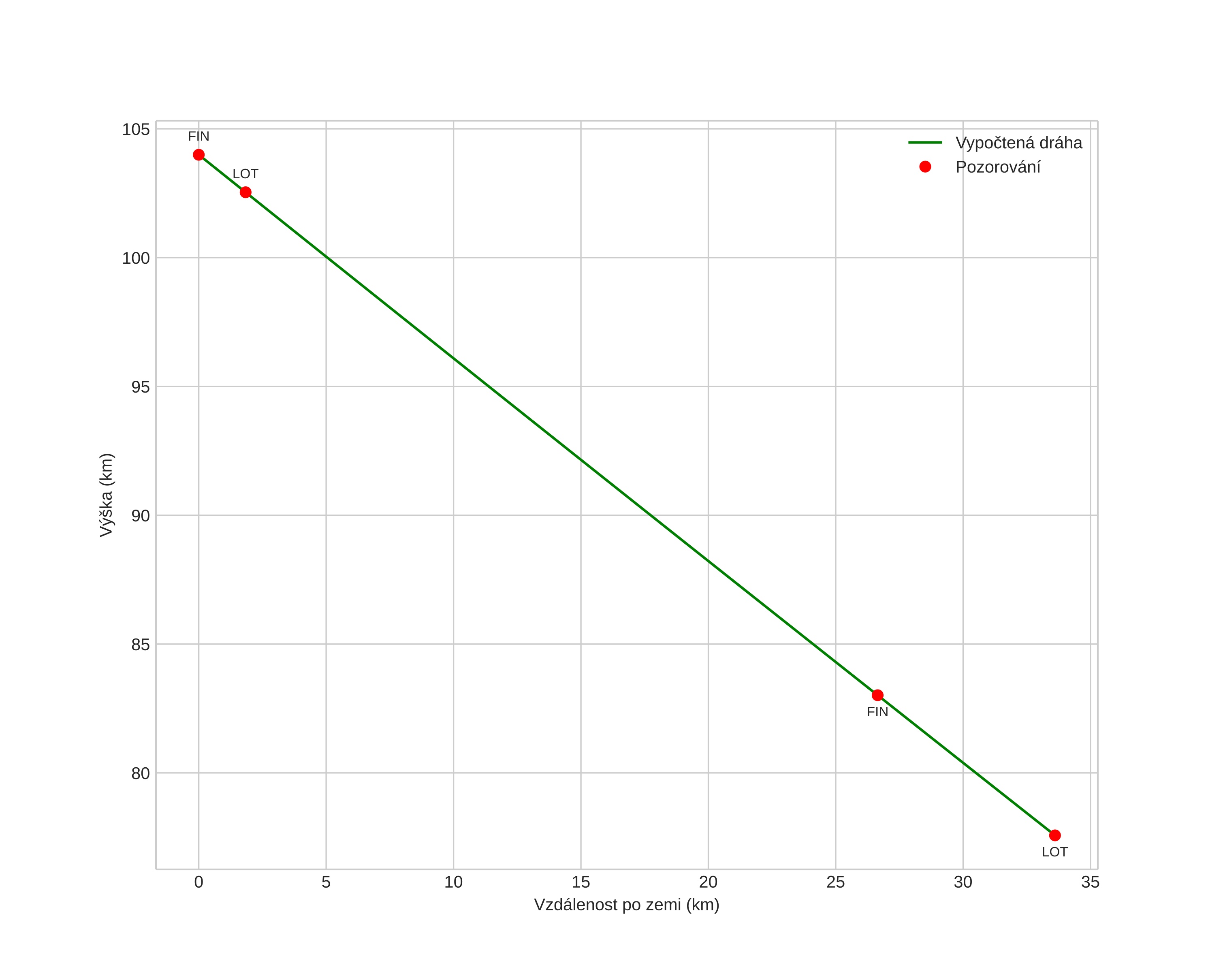
height profile
Atmosférická dráha meteoru:
Počáteční výška: 103,6 km
Konečná výška: 83,1 km
Počáteční poloha: 61,445N 15,207E
Konečná poloha: 61,579N 14,806E
Směr: 305,2°
Sklon: 38,2°
VstupnĂ­ rychlost: 48,2 km/s
Rektascenze radiantu: 06:08 (92,2°)
Deklinace radiantu: 18,4°
MeteorickĂ˝ roj: sporadickĂ˝
Elementy dráhy meteoroidu:
Vzdálenost v periheliu: 0,067 AU
Excentricita: 1,009
Sklon dráhy: 21,6°
Délka vzestupného uzlu: 66,8°
Argument perihelia: 148,9°
Střední anomálie: -1,5°
Epocha: 2024 NOV 28 21:45:24
orbit plot

NeinteraktivnĂ­ graf | InteraktivnĂ­ graf

position vs time
speed and acceleration