🇳🇴 🇬🇧 🇩🇪 🇨🇿 🇫🇮

Meteor über Orsa 2024-11-28 21:45:24 UTC

KML-Datei  |  Interaktive Karte

Die Karte zeigt die Peilungen für den Meteor. Die helleren Linien zeigen die Richtungen von den Beobachtungsorten beim Erscheinen des Meteors, und die dunkleren Linien, wo er zuletzt gesehen wurde. Der blaue Pfeil zeigt die sichtbare Bahn des Meteors.

static map
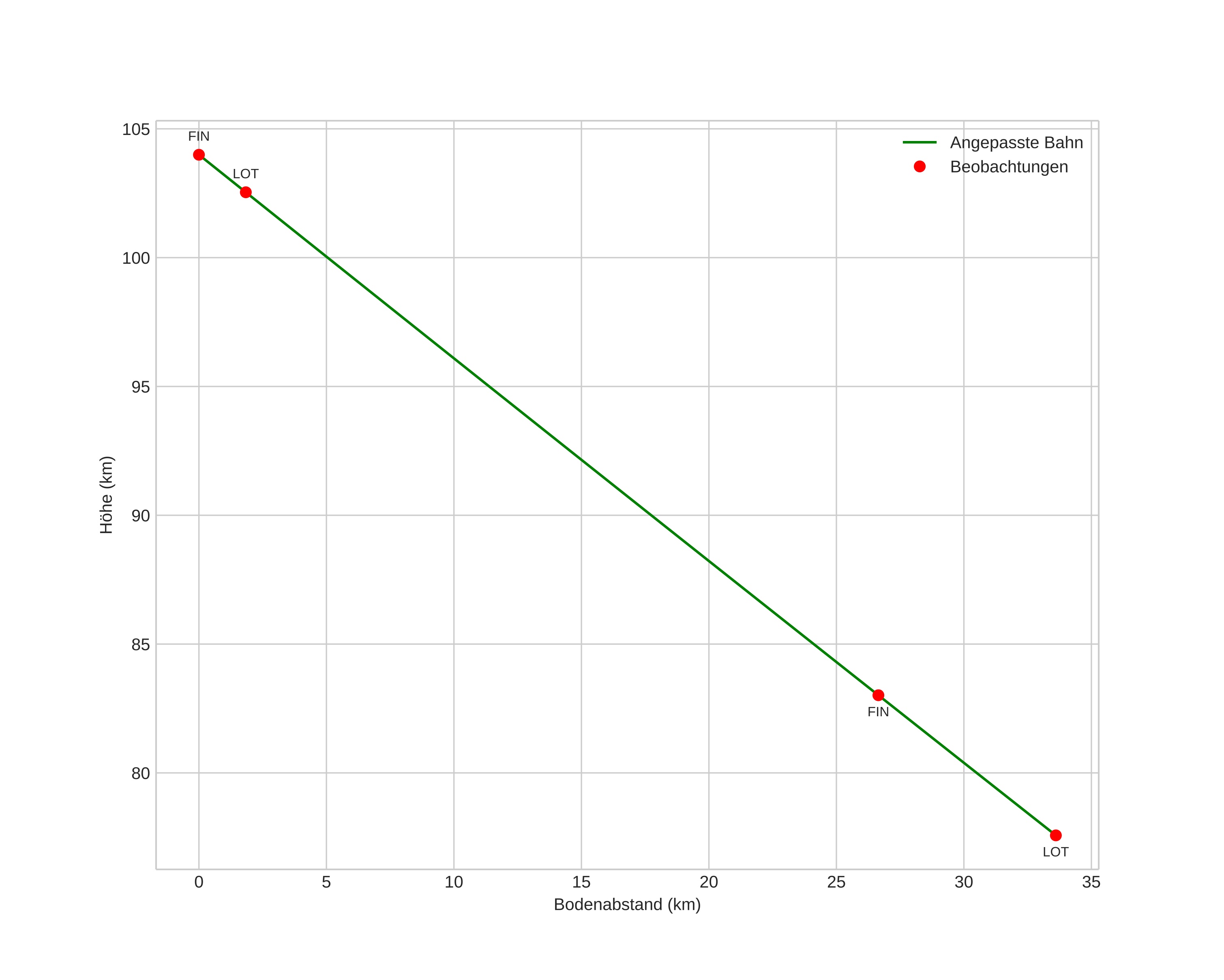
height profile
Atmosphärische Bahn des Meteors:
Anfangshöhe: 103,6 km
Endhöhe: 83,1 km
Startposition: 61,445N 15,207E
Endposition: 61,579N 14,806E
Richtung: 305,2°
Neigungswinkel: 38,2°
Eintrittsgeschwindigkeit: 48,2 km/s
Rektaszension des Radianten: 06:08 (92,2°)
Deklination des Radianten: 18,4°
Meteorstrom: sporadisch
Bahnelemente des Meteoroiden:
Periheldistanz: 0,067 AU
Exzentrizität: 1,009
Inklination: 21,6°
Länge des aufsteigenden Knotens: 66,8°
Argument des Perihels: 148,9°
Mittlere Anomalie: -1,5°
Epoche: 2024 NOV 28 21:45:24
orbit plot

Nicht-interaktives Diagramm | Interaktives Diagramm

position vs time
speed and acceleration