🇳🇴 🇬🇧 🇩🇪 🇨🇿 🇫🇮

Meteor Orsan yllä 2024-11-28 21:45:24 UTC

KML-tiedosto  |  Interaktiivinen kartta

Kartta näyttää meteorin suuntahavainnot. Vaaleammat viivat näyttävät suunnat havaintoasemilta meteorin ilmestyessä, ja tummemmat viivat näyttävät, missä se viimeksi nähtiin. Sininen nuoli näyttää meteorin näkyvän lennon.

static map
height profile
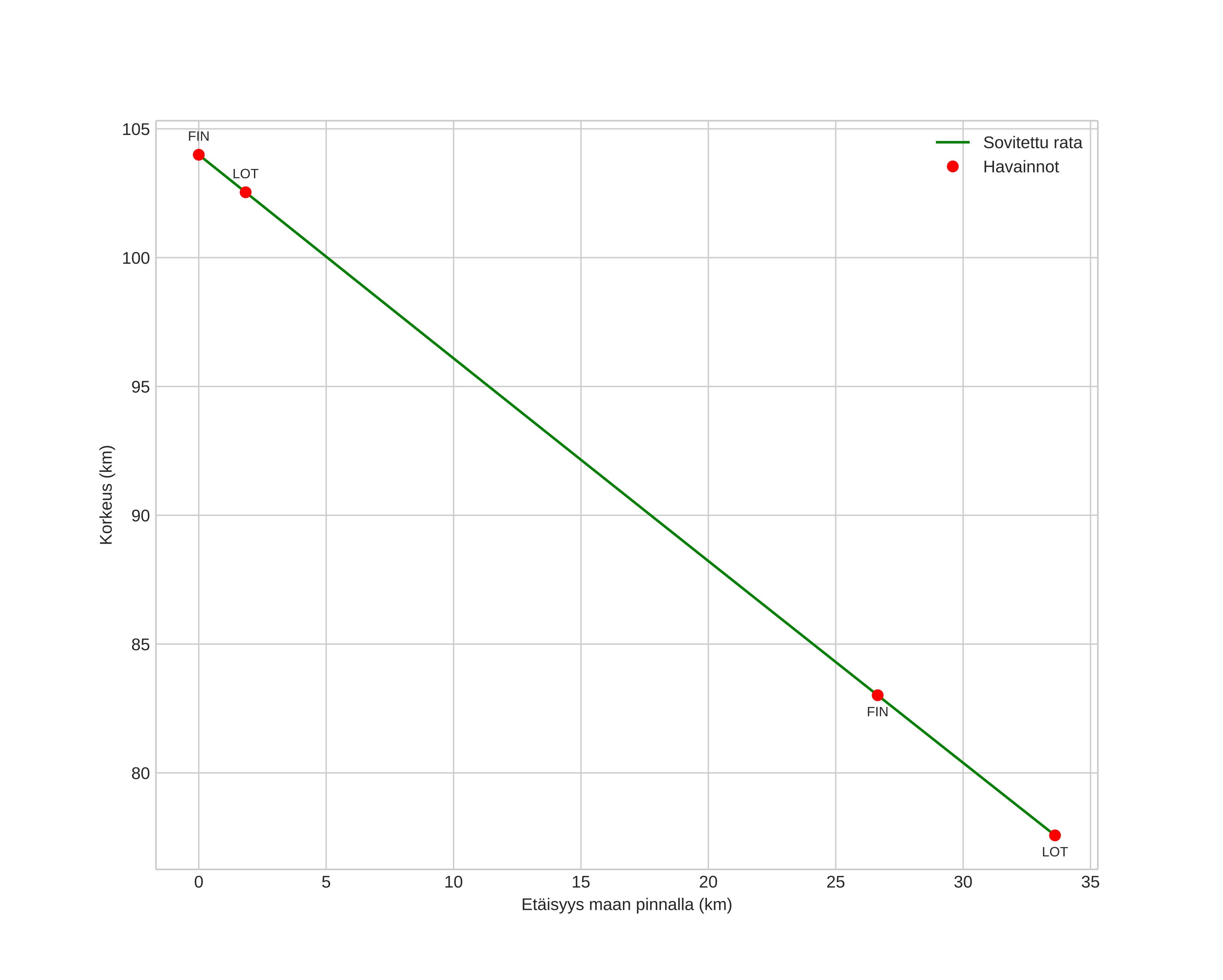
Meteorin ilmakehärata:
Alkukorkeus: 103,6 km
Loppukorkeus: 83,1 km
Alkupiste: 61,445N 15,207E
Loppupiste: 61,579N 14,806E
Suunta: 305,2°
Kallistuskulma: 38,2°
Tulonopeus: 48,2 km/s
Radiantin R,A,: 06:08 (92,2°)
Radiantin Dekl,: 18,4°
Meteoriparvi: Sporadinen
Meteoroidin rataelementit:
Perihelietäisyys: 0,067 AU
Eksentrisyys: 1,009
Inklinaatio: 21,6°
Nousevan solmun pituus: 66,8°
Perihelin argumentti: 148,9°
Keskianomalia: -1,5°
Epookki: 2024 NOV 28 21:45:24
orbit plot

Ei-interaktiivinen kuvaaja | Interaktiivinen kuvaaja

position vs time
speed and acceleration