🇳🇴 🇬🇧 🇩🇪 🇨🇿 🇫🇮

Meteor, poloha: Torsby 2024-12-03 01:08:05 UTC

Soubor KML  |  InteraktivnĂ­ mapa

Mapa zobrazuje dráhy meteoru. Světlejší čáry ukazují směry od pozorovacích stanic při objevení se meteoru a tmavší čáry, kde byl naposledy viděn. Modrá šipka značí viditelnou dráhu meteoru.

static map
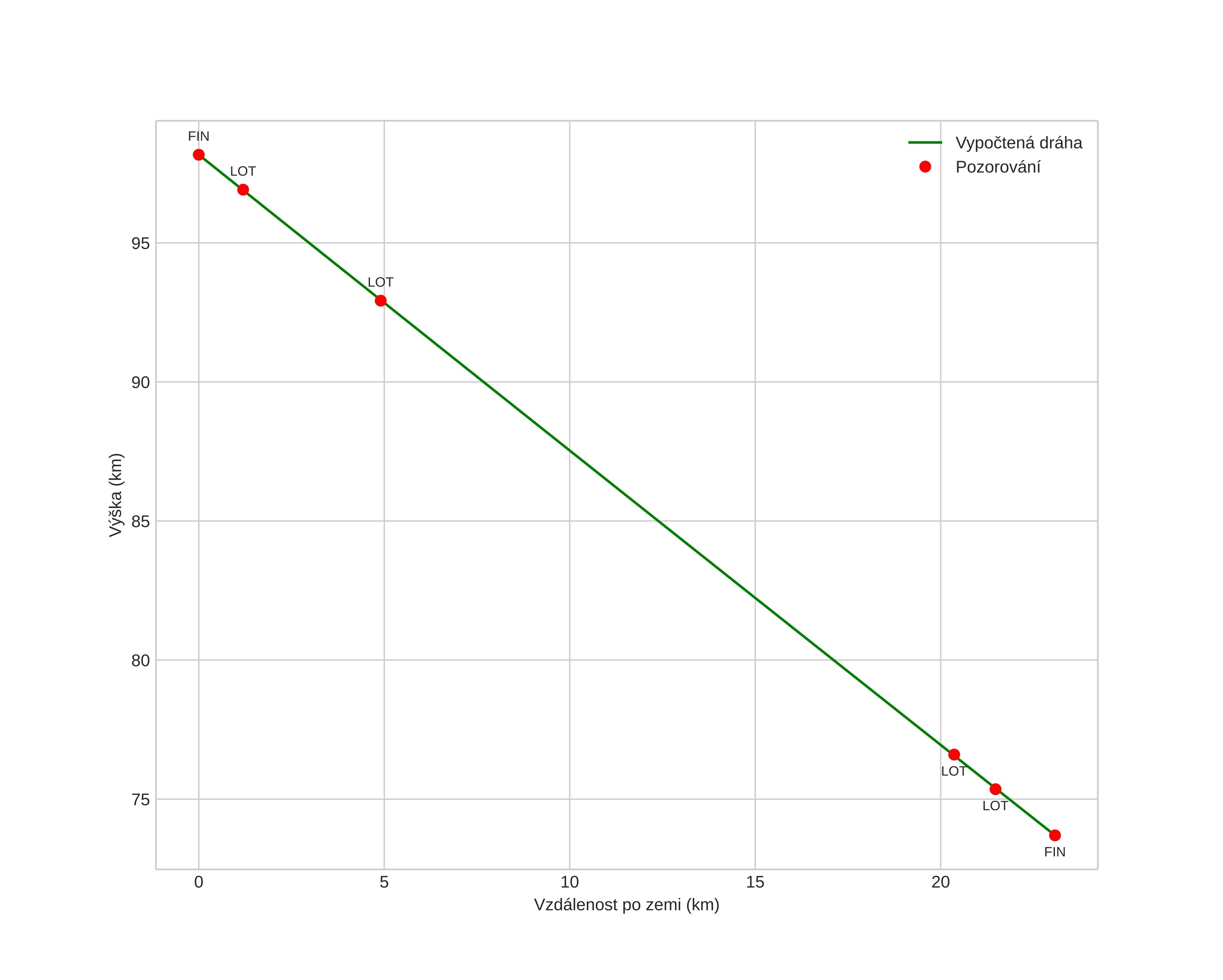
height profile
Atmosférická dráha meteoru:
Počáteční výška: 99,0 km
Konečná výška: 74,1 km
Počáteční poloha: 60,034N 12,720E
Konečná poloha: 60,214N 12,943E
Směr: 31,5°
Sklon: 46,6°
VstupnĂ­ rychlost: 29,2 km/s
Rektascenze radiantu: 05:13 (78,3°)
Deklinace radiantu: 17,8°
MeteorickĂ˝ roj: SevernĂ­ Tauridy
Elementy dráhy meteoroidu:
Vzdálenost v periheliu: 0,426 AU
Excentricita: 0,827
Sklon dráhy: 5,2°
Délka vzestupného uzlu: 71,0°
Argument perihelia: 104,6°
Střední anomálie: 349,1°
Epocha: 2024 DEC 03 01:08:05
orbit plot

NeinteraktivnĂ­ graf | InteraktivnĂ­ graf

position vs time
speed and acceleration