🇳🇴 🇬🇧 🇩🇪 🇨🇿 🇫🇮

Meteor Torsbyn yllä 2024-12-03 01:08:05 UTC

KML-tiedosto  |  Interaktiivinen kartta

Kartta näyttää meteorin suuntahavainnot. Vaaleammat viivat näyttävät suunnat havaintoasemilta meteorin ilmestyessä, ja tummemmat viivat näyttävät, missä se viimeksi nähtiin. Sininen nuoli näyttää meteorin näkyvän lennon.

static map
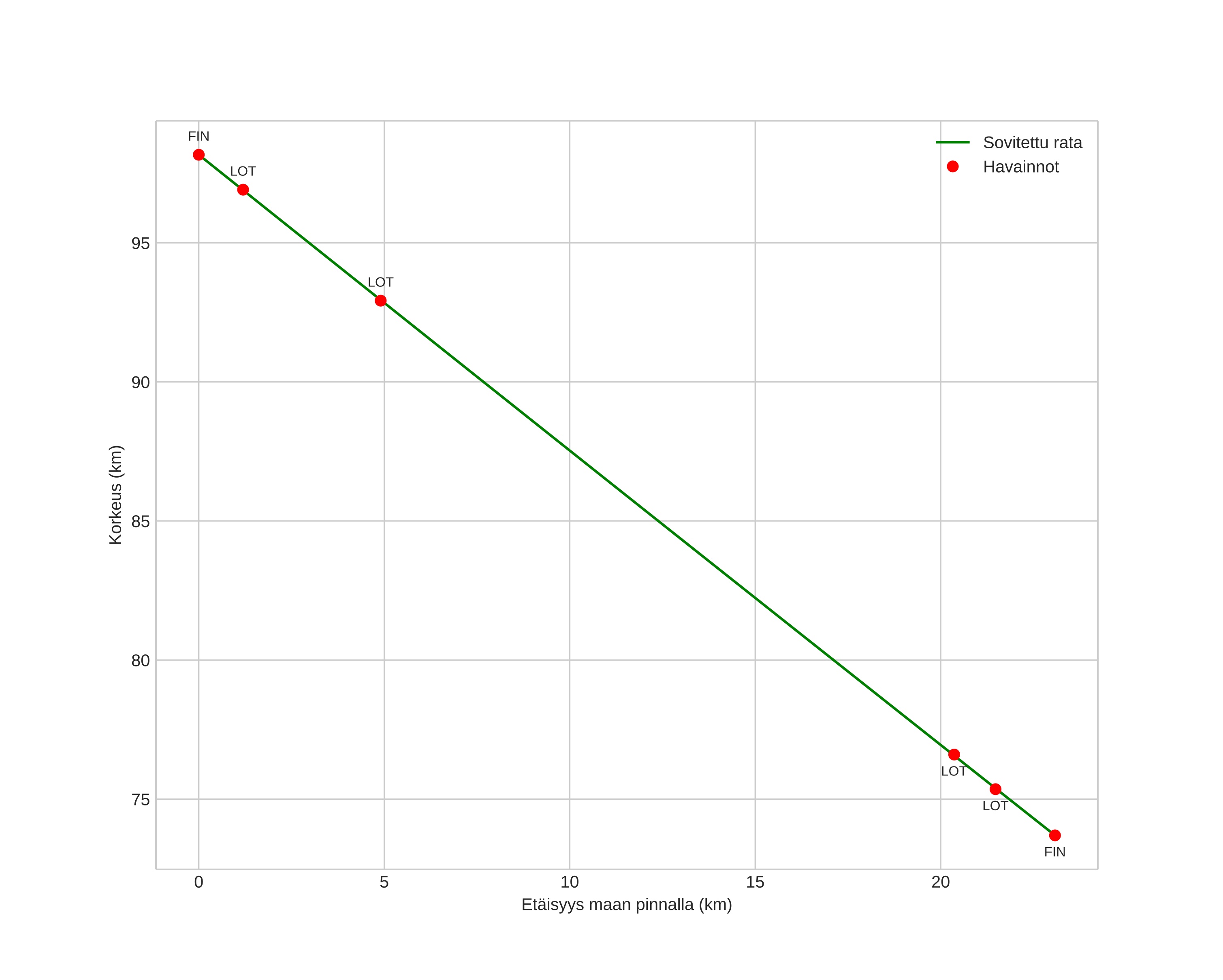
height profile
Meteorin ilmakehärata:
Alkukorkeus: 99,0 km
Loppukorkeus: 74,1 km
Alkupiste: 60,034N 12,720E
Loppupiste: 60,214N 12,943E
Suunta: 31,5°
Kallistuskulma: 46,6°
Tulonopeus: 29,2 km/s
Radiantin R,A,: 05:13 (78,3°)
Radiantin Dekl,: 17,8°
Meteoriparvi: Pohjoiset tauridit
Meteoroidin rataelementit:
Perihelietäisyys: 0,426 AU
Eksentrisyys: 0,827
Inklinaatio: 5,2°
Nousevan solmun pituus: 71,0°
Perihelin argumentti: 104,6°
Keskianomalia: 349,1°
Epookki: 2024 DEC 03 01:08:05
orbit plot

Ei-interaktiivinen kuvaaja | Interaktiivinen kuvaaja

position vs time
speed and acceleration