🇳🇴 🇬🇧 🇩🇪 🇨🇿 🇫🇮

Meteor über Torsby 2024-12-03 01:08:05 UTC

KML-Datei  |  Interaktive Karte

Die Karte zeigt die Peilungen für den Meteor. Die helleren Linien zeigen die Richtungen von den Beobachtungsorten beim Erscheinen des Meteors, und die dunkleren Linien, wo er zuletzt gesehen wurde. Der blaue Pfeil zeigt die sichtbare Bahn des Meteors.

static map
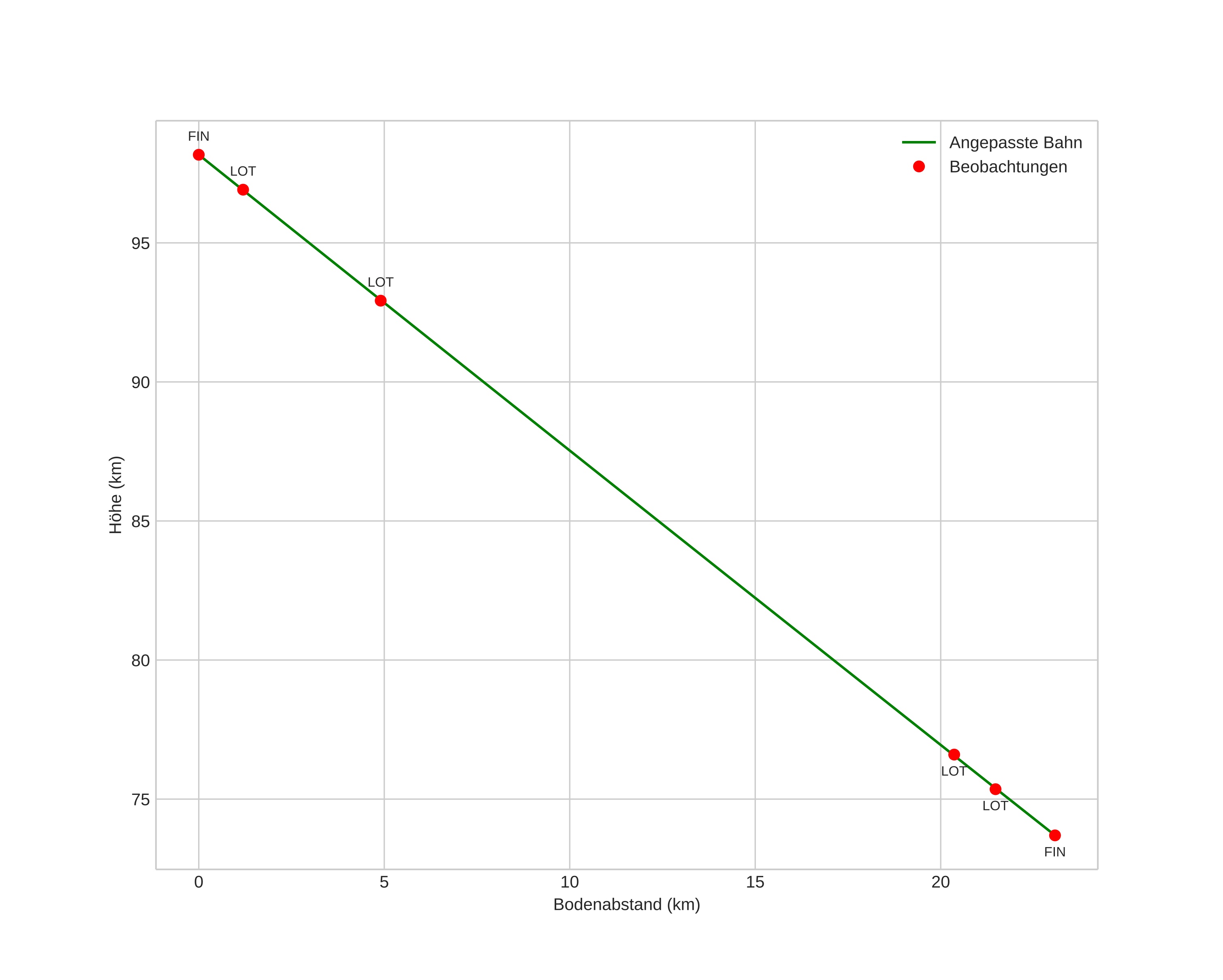
height profile
Atmosphärische Bahn des Meteors:
Anfangshöhe: 99,0 km
Endhöhe: 74,1 km
Startposition: 60,034N 12,720E
Endposition: 60,214N 12,943E
Richtung: 31,5°
Neigungswinkel: 46,6°
Eintrittsgeschwindigkeit: 29,2 km/s
Rektaszension des Radianten: 05:13 (78,3°)
Deklination des Radianten: 17,8°
Meteorstrom: Nördliche Tauriden
Bahnelemente des Meteoroiden:
Periheldistanz: 0,426 AU
Exzentrizität: 0,827
Inklination: 5,2°
Länge des aufsteigenden Knotens: 71,0°
Argument des Perihels: 104,6°
Mittlere Anomalie: 349,1°
Epoche: 2024 DEC 03 01:08:05
orbit plot

Nicht-interaktives Diagramm | Interaktives Diagramm

position vs time
speed and acceleration