🇳🇴 🇬🇧 🇩🇪 🇨🇿 🇫🇮

Meteor, poloha: Grua 2024-12-03 05:35:42 UTC

Soubor KML  |  InteraktivnĂ­ mapa

Mapa zobrazuje dráhy meteoru. Světlejší čáry ukazují směry od pozorovacích stanic při objevení se meteoru a tmavší čáry, kde byl naposledy viděn. Modrá šipka značí viditelnou dráhu meteoru.

static map
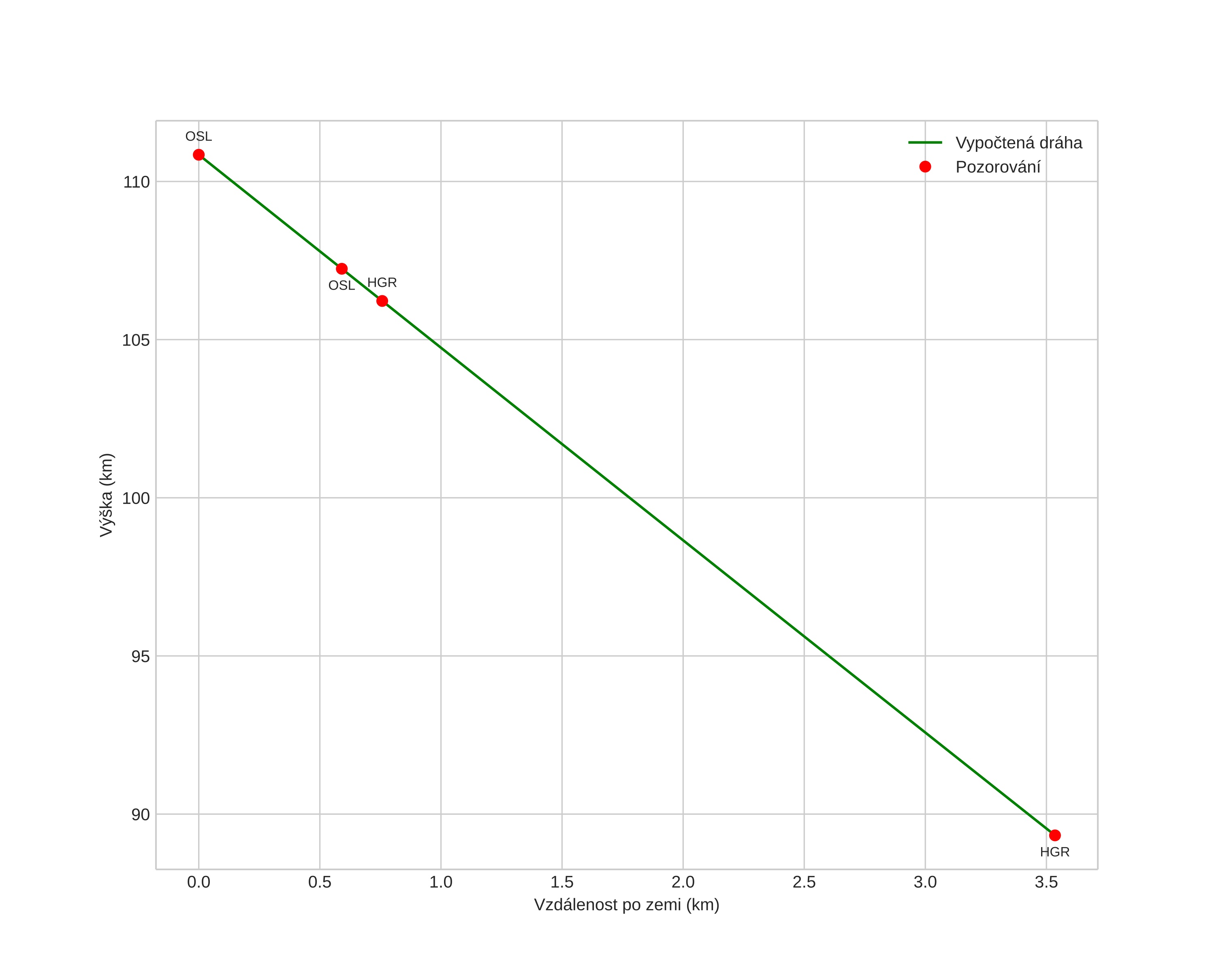
height profile
Atmosférická dráha meteoru:
Počáteční výška: 110,7 km
Konečná výška: 89,3 km
Počáteční poloha: 60,311N 10,808E
Konečná poloha: 60,289N 10,763E
Směr: 225,0°
Sklon: 80,7°
VstupnĂ­ rychlost: 35,7 km/s
Rektascenze radiantu: 12:11 (182,8°)
Deklinace radiantu: 66,3°
MeteorickĂ˝ roj: sporadickĂ˝
Elementy dráhy meteoroidu:
Vzdálenost v periheliu: 0,867 AU
Excentricita: 0,275
Sklon dráhy: 64,8°
Délka vzestupného uzlu: 251,2°
Argument perihelia: 243,8°
Střední anomálie: 321,8°
Epocha: 2024 DEC 03 05:35:42
orbit plot

NeinteraktivnĂ­ graf | InteraktivnĂ­ graf

position vs time
speed and acceleration

Hagar (HGR) cam6


gnomonic
Videa
• Gnomonická
• Gnomonická se souřadnicemi
• Původní
• Původní se souřadnicemi
Obrázky
• Gnomonická
• Gnomonická se souřadnicemi
• Původní
• Původní se souřadnicemi
Textové soubory
• Detekce
• Pozorování
• Protokol
Jasnost