🇳🇴 🇬🇧 🇩🇪 🇨🇿 🇫🇮

Meteor über Grua 2024-12-03 05:35:42 UTC

KML-Datei  |  Interaktive Karte

Die Karte zeigt die Peilungen für den Meteor. Die helleren Linien zeigen die Richtungen von den Beobachtungsorten beim Erscheinen des Meteors, und die dunkleren Linien, wo er zuletzt gesehen wurde. Der blaue Pfeil zeigt die sichtbare Bahn des Meteors.

static map
height profile
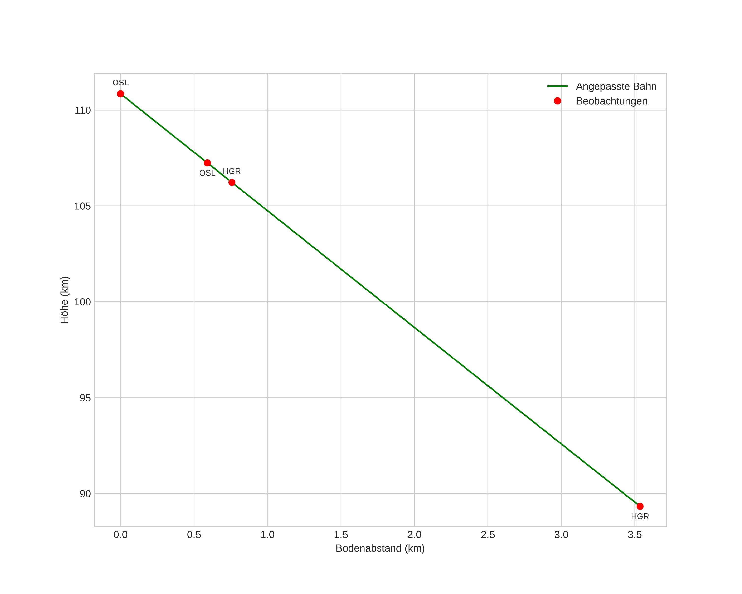
Atmosphärische Bahn des Meteors:
Anfangshöhe: 110,7 km
Endhöhe: 89,3 km
Startposition: 60,311N 10,808E
Endposition: 60,289N 10,763E
Richtung: 225,0°
Neigungswinkel: 80,7°
Eintrittsgeschwindigkeit: 35,7 km/s
Rektaszension des Radianten: 12:11 (182,8°)
Deklination des Radianten: 66,3°
Meteorstrom: sporadisch
Bahnelemente des Meteoroiden:
Periheldistanz: 0,867 AU
Exzentrizität: 0,275
Inklination: 64,8°
Länge des aufsteigenden Knotens: 251,2°
Argument des Perihels: 243,8°
Mittlere Anomalie: 321,8°
Epoche: 2024 DEC 03 05:35:42
orbit plot

Nicht-interaktives Diagramm | Interaktives Diagramm

position vs time
speed and acceleration

Hagar (HGR) cam6


gnomonic
Videos
• Gnomonisch
• Gnomonisch mit Koordinaten
• Original
• Original mit Koordinaten
Bilder
• Gnomonisch
• Gnomonisch mit Koordinaten
• Original
• Original mit Koordinaten
Textdateien
• Erkennung
• Beobachtung
• Protokoll
Helligkeit