🇳🇴 🇬🇧 🇩🇪 🇨🇿 🇫🇮

Meteor Gruan yllä 2024-12-03 05:35:42 UTC

KML-tiedosto  |  Interaktiivinen kartta

Kartta näyttää meteorin suuntahavainnot. Vaaleammat viivat näyttävät suunnat havaintoasemilta meteorin ilmestyessä, ja tummemmat viivat näyttävät, missä se viimeksi nähtiin. Sininen nuoli näyttää meteorin näkyvän lennon.

static map
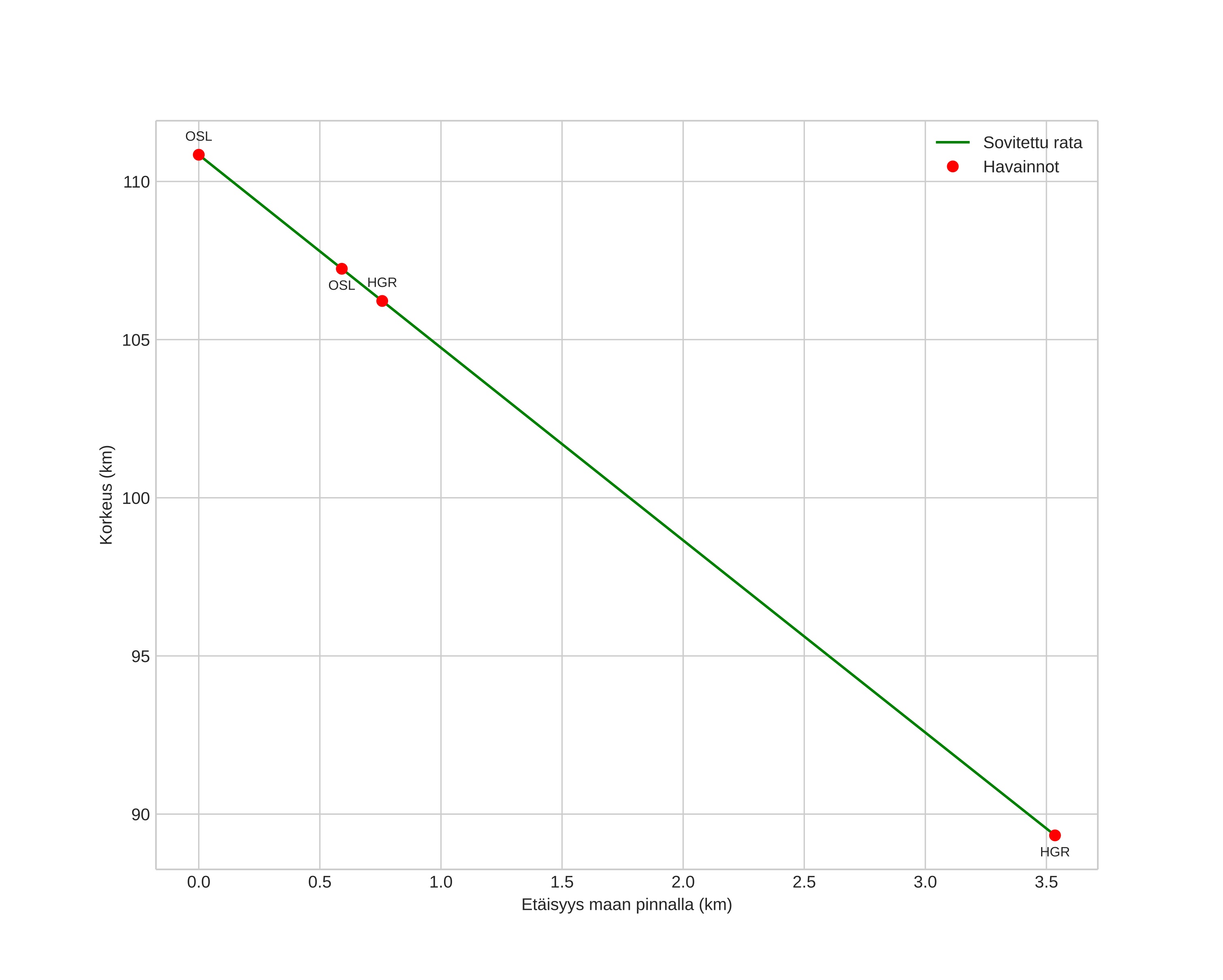
height profile
Meteorin ilmakehärata:
Alkukorkeus: 110,7 km
Loppukorkeus: 89,3 km
Alkupiste: 60,311N 10,808E
Loppupiste: 60,289N 10,763E
Suunta: 225,0°
Kallistuskulma: 80,7°
Tulonopeus: 35,7 km/s
Radiantin R,A,: 12:11 (182,8°)
Radiantin Dekl,: 66,3°
Meteoriparvi: Sporadinen
Meteoroidin rataelementit:
Perihelietäisyys: 0,867 AU
Eksentrisyys: 0,275
Inklinaatio: 64,8°
Nousevan solmun pituus: 251,2°
Perihelin argumentti: 243,8°
Keskianomalia: 321,8°
Epookki: 2024 DEC 03 05:35:42
orbit plot

Ei-interaktiivinen kuvaaja | Interaktiivinen kuvaaja

position vs time
speed and acceleration

Hagar (HGR) cam6


gnomonic
Videot:
• Gnomoninen
• Gnomoninen koordinaateilla
• Alkuperäinen
• Alkuperäinen koordinaateilla
Kuvat:
• Gnomoninen
• Gnomoninen koordinaateilla
• Alkuperäinen
• Alkuperäinen koordinaateilla
Tekstitiedostot:
• Havaintoraportti
• Observaatio
• Loki
Kirkkaus