🇳🇴 🇬🇧 🇩🇪 🇨🇿 🇫🇮

Meteor, poloha: Svärdsjö 2024-12-04 02:00:23 UTC

Soubor KML  |  Interaktivní mapa

Mapa zobrazuje dráhy meteoru. Světlejší čáry ukazují směry od pozorovacích stanic při objevení se meteoru a tmavší čáry, kde byl naposledy viděn. Modrá šipka značí viditelnou dráhu meteoru.

static map
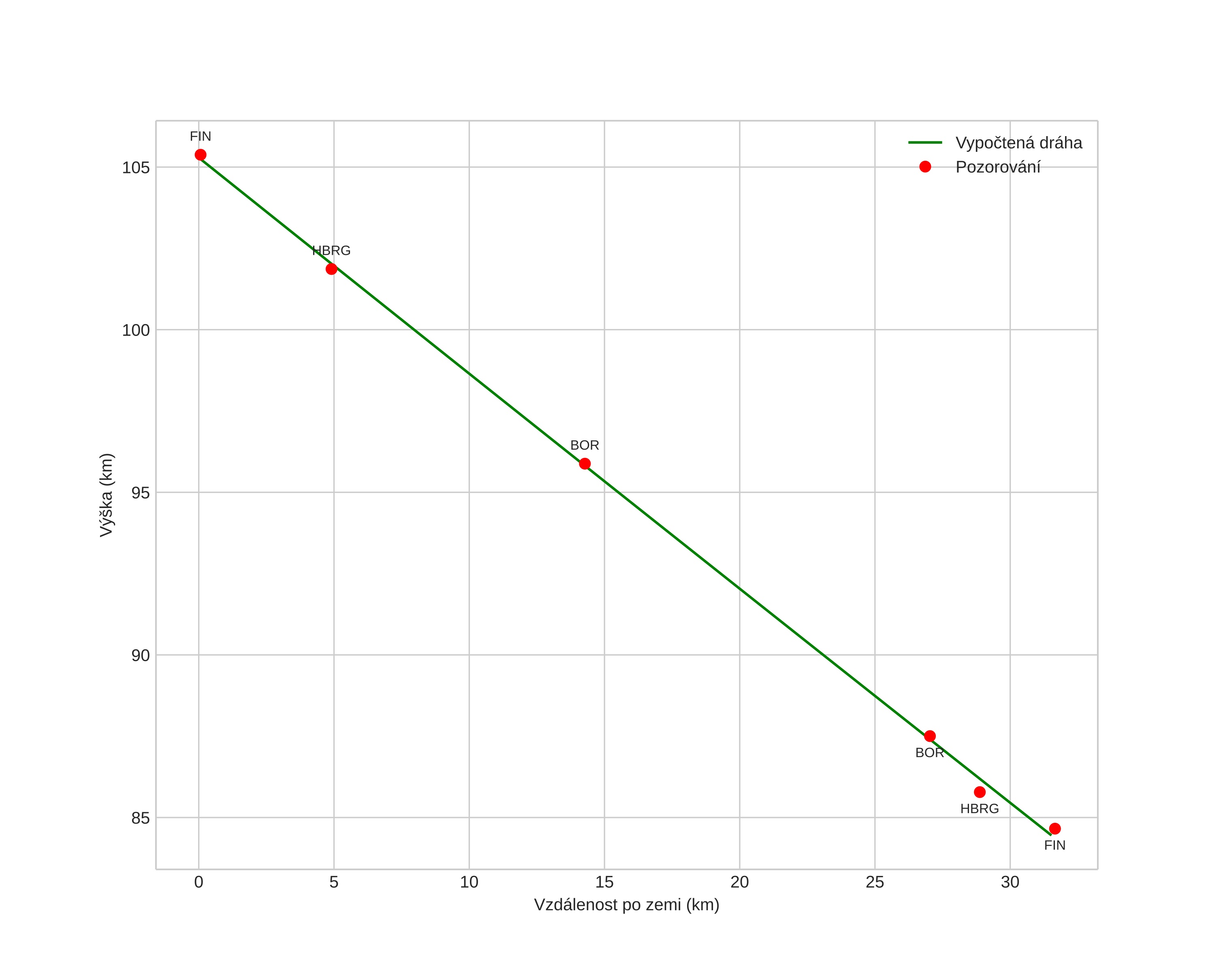
height profile
Atmosférická dráha meteoru:
Počáteční výška: 107,2 km
Konečná výška: 84,4 km
Počáteční poloha: 60,571N 15,749E
Konečná poloha: 60,879N 15,723E
Směr: 357,7°
Sklon: 33,6°
Vstupní rychlost: 61,4 km/s
Rektascenze radiantu: 08:02 (120,5°)
Deklinace radiantu: 3,7°
Meteorický roj: Sigma Hydridy
Elementy dráhy meteoroidu:
Vzdálenost v periheliu: 0,264 AU
Excentricita: 1,032
Sklon dráhy: 129,4°
Délka vzestupného uzlu: 72,1°
Argument perihelia: 116,3°
Střední anomálie: -1,4°
Epocha: 2024 DEC 04 02:00:23
orbit plot

Neinteraktivní graf | Interaktivní graf

position vs time
speed and acceleration