🇳🇴 🇬🇧 🇩🇪 🇨🇿 🇫🇮

Meteor over Svärdsjö 2024-12-04 02:00:23 UTC

KML file  |  Interactive map

The map shows the bearings for the meteor. The lighter lines show the directions from the observation sites at the meteor's appearance, and the darker lines show where it was last seen. The blue arrow indicates the visible path of the meteor.

static map
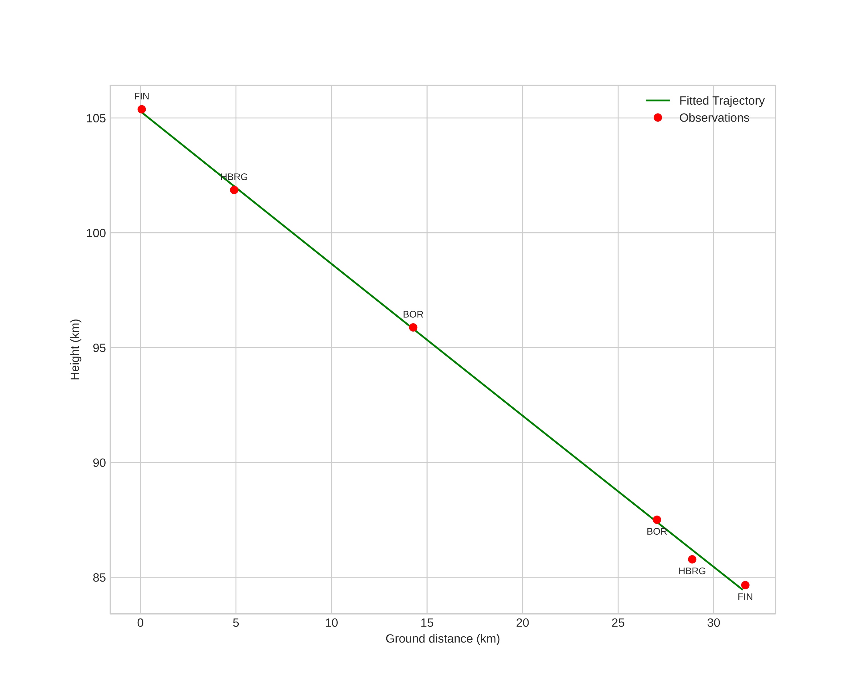
height profile
Meteor's Atmospheric Trajectory:
Start height: 107.2 km
End height: 84.4 km
Start position: 60.571N 15.749E
End position: 60.879N 15.723E
Direction: 357.7°
Inclination angle: 33.6°
Entry speed: 61.4 km/s
Radiant R.A.: 08:02 (120.5°)
Radiant Dec.: 3.7°
Meteor Shower: Sigma Hydrids
Meteoroid's Orbital Elements:
Perihelion distance: 0.264 AU
Eccentricity: 1.032
Inclination: 129.4°
Long. of Asc. Node: 72.1°
Argument of Perihelion: 116.3°
Mean Anomaly: -1.4°
Epoch: 2024 DEC 04 02:00:23
orbit plot

Non-interactive plot | Interactive plot

position vs time
speed and acceleration

Finnskogen (FIN) cam3


gnomonic
Videos
• Gnomonic
• Gnomonic with coordinates
• Original
• Original with coordinates
Images
• Gnomonic
• Gnomonic with coordinates
• Uncorrected gnomonic with coordinates
• Gnomonic with labels
• Uncorrected gnomonic with labels
• Original
• Original with coordinates
Text Files
• Detection
• Observation
• Coordinates
• Log
Brightness