🇳🇴 🇬🇧 🇩🇪 🇨🇿 🇫🇮

Meteor Svärdsjöin yllä 2024-12-04 02:00:23 UTC

KML-tiedosto  |  Interaktiivinen kartta

Kartta näyttää meteorin suuntahavainnot. Vaaleammat viivat näyttävät suunnat havaintoasemilta meteorin ilmestyessä, ja tummemmat viivat näyttävät, missä se viimeksi nähtiin. Sininen nuoli näyttää meteorin näkyvän lennon.

static map
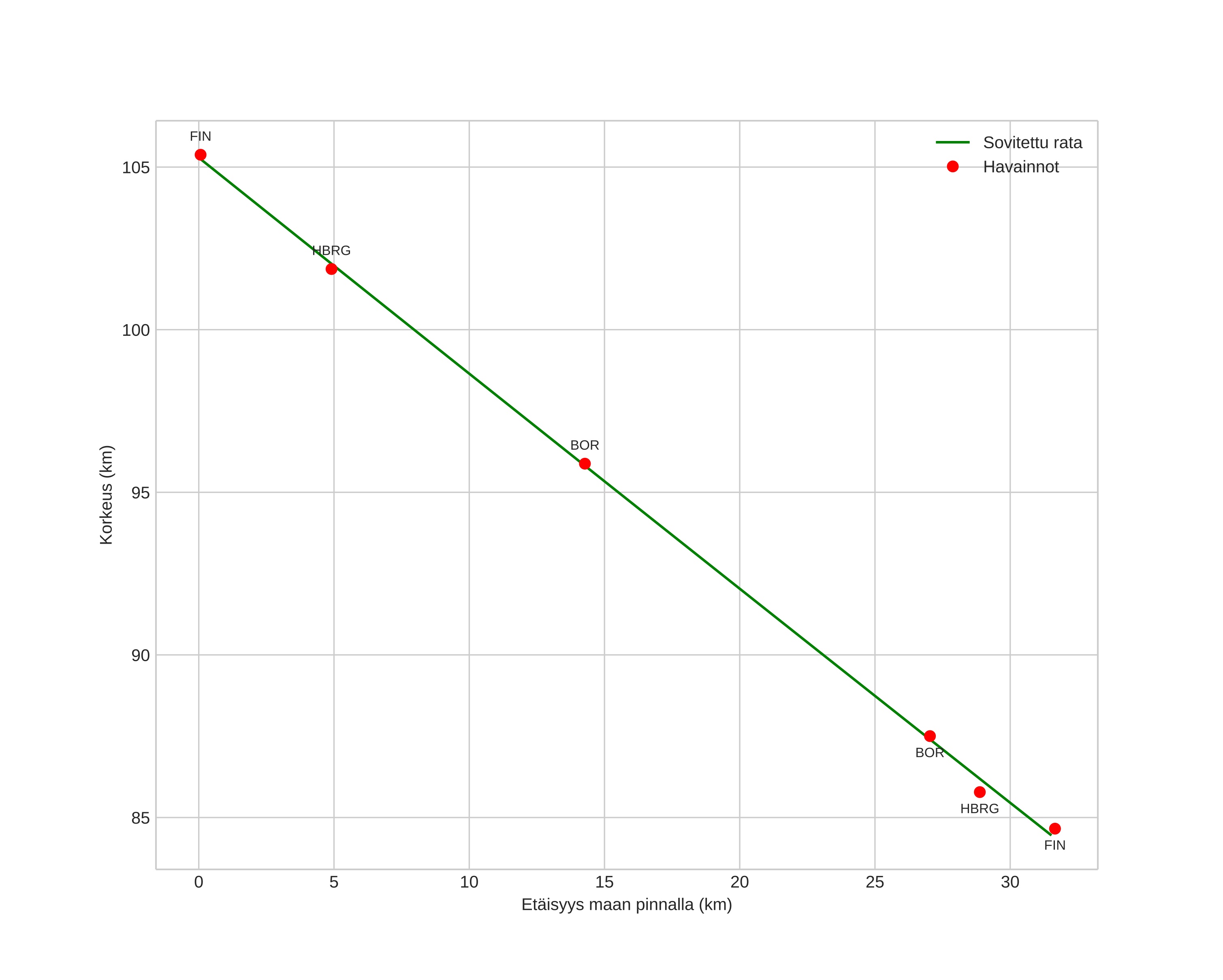
height profile
Meteorin ilmakehärata:
Alkukorkeus: 107,2 km
Loppukorkeus: 84,4 km
Alkupiste: 60,571N 15,749E
Loppupiste: 60,879N 15,723E
Suunta: 357,7°
Kallistuskulma: 33,6°
Tulonopeus: 61,4 km/s
Radiantin R,A,: 08:02 (120,5°)
Radiantin Dekl,: 3,7°
Meteoriparvi: Sigma-hydridit
Meteoroidin rataelementit:
Perihelietäisyys: 0,264 AU
Eksentrisyys: 1,032
Inklinaatio: 129,4°
Nousevan solmun pituus: 72,1°
Perihelin argumentti: 116,3°
Keskianomalia: -1,4°
Epookki: 2024 DEC 04 02:00:23
orbit plot

Ei-interaktiivinen kuvaaja | Interaktiivinen kuvaaja

position vs time
speed and acceleration