🇳🇴 🇬🇧 🇩🇪 🇨🇿 🇫🇮

Meteor, poloha: Ørje 2024-12-08 17:00:43 UTC

Soubor KML  |  Interaktivní mapa

Mapa zobrazuje dráhy meteoru. Světlejší čáry ukazují směry od pozorovacích stanic při objevení se meteoru a tmavší čáry, kde byl naposledy viděn. Modrá šipka značí viditelnou dráhu meteoru.

static map
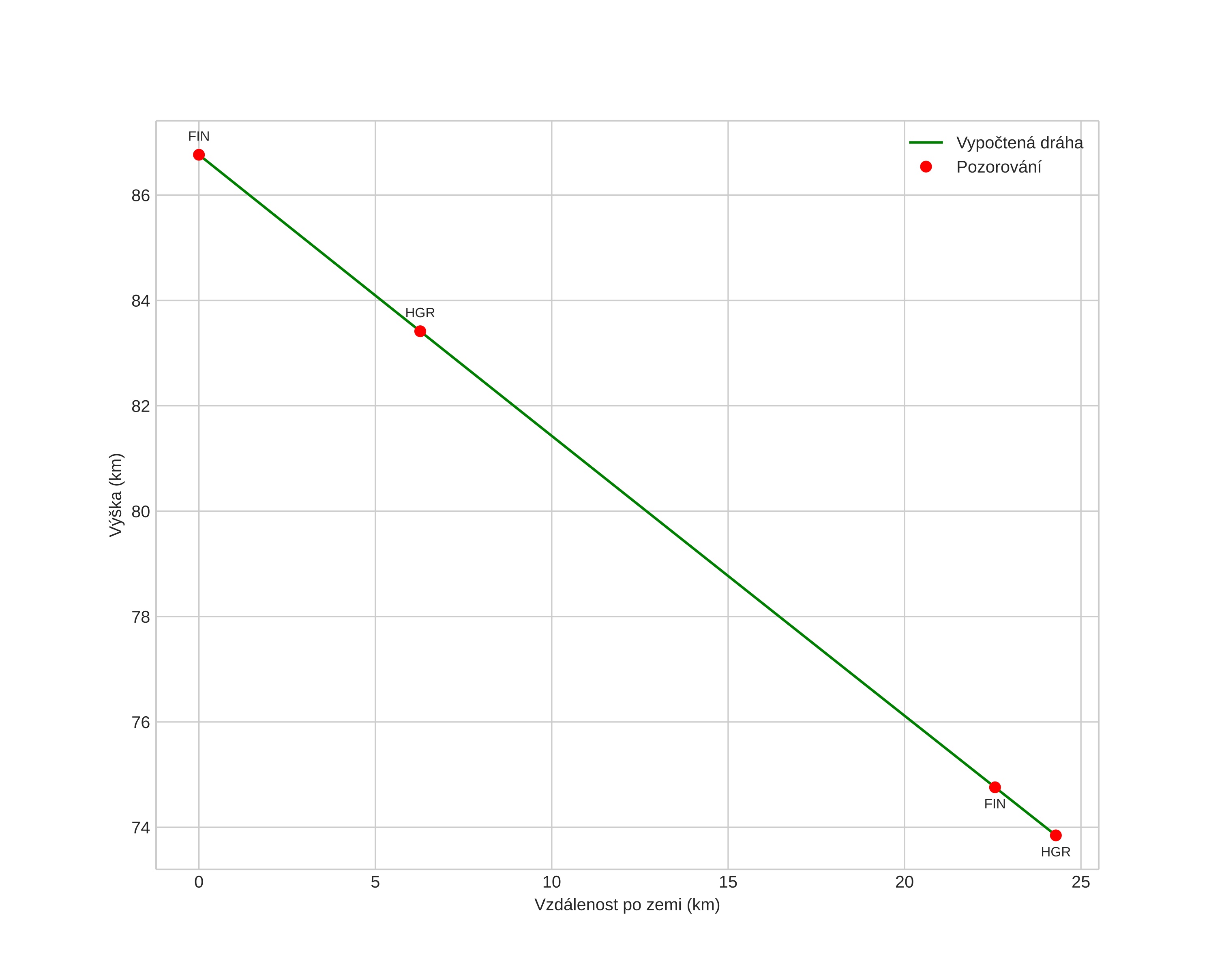
height profile
Atmosférická dráha meteoru:
Počáteční výška: 85,6 km
Konečná výška: 74,0 km
Počáteční poloha: 59,606N 12,081E
Konečná poloha: 59,550N 11,692E
Směr: 254,2°
Sklon: 27,0°
Vstupní rychlost: 23,8 km/s
Rektascenze radiantu: 05:04 (76,1°)
Deklinace radiantu: 27,6°
Meteorický roj: Severní Tauridy
Elementy dráhy meteoroidu:
Vzdálenost v periheliu: 0,578 AU
Excentricita: 0,699
Sklon dráhy: 3,3°
Délka vzestupného uzlu: 256,7°
Argument perihelia: 270,3°
Střední anomálie: 342,9°
Epocha: 2024 DEC 08 17:00:43
orbit plot

Neinteraktivní graf | Interaktivní graf

position vs time
speed and acceleration