🇳🇴 🇬🇧 🇩🇪 🇨🇿 🇫🇮

Meteor über Ørje 2024-12-08 17:00:43 UTC

KML-Datei  |  Interaktive Karte

Die Karte zeigt die Peilungen für den Meteor. Die helleren Linien zeigen die Richtungen von den Beobachtungsorten beim Erscheinen des Meteors, und die dunkleren Linien, wo er zuletzt gesehen wurde. Der blaue Pfeil zeigt die sichtbare Bahn des Meteors.

static map
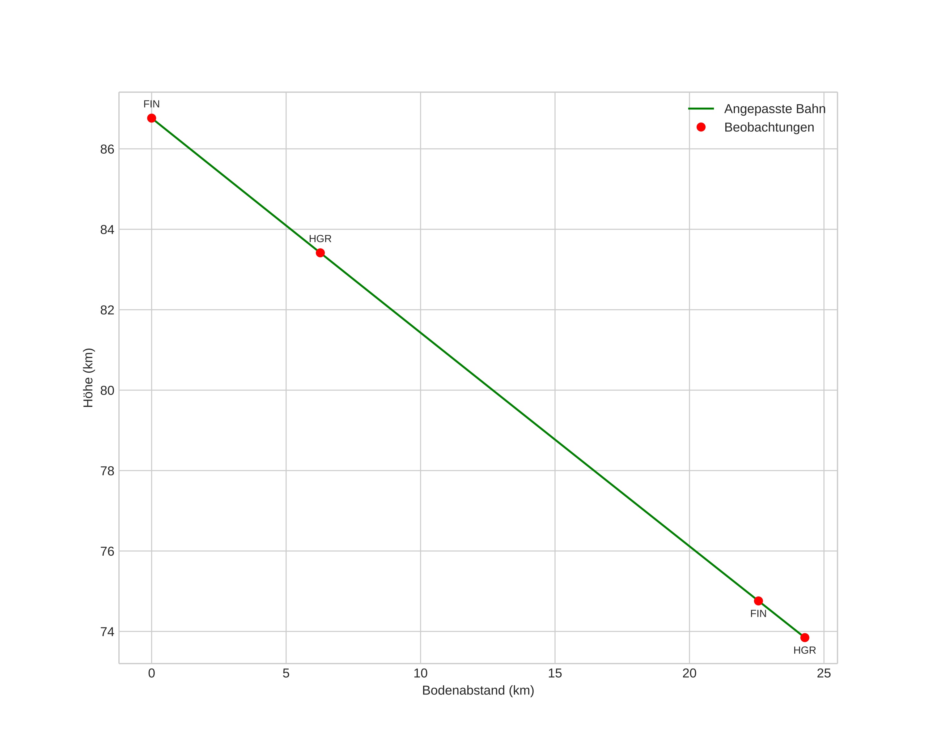
height profile
Atmosphärische Bahn des Meteors:
Anfangshöhe: 85,6 km
Endhöhe: 74,0 km
Startposition: 59,606N 12,081E
Endposition: 59,550N 11,692E
Richtung: 254,2°
Neigungswinkel: 27,0°
Eintrittsgeschwindigkeit: 23,8 km/s
Rektaszension des Radianten: 05:04 (76,1°)
Deklination des Radianten: 27,6°
Meteorstrom: Nördliche Tauriden
Bahnelemente des Meteoroiden:
Periheldistanz: 0,578 AU
Exzentrizität: 0,699
Inklination: 3,3°
Länge des aufsteigenden Knotens: 256,7°
Argument des Perihels: 270,3°
Mittlere Anomalie: 342,9°
Epoche: 2024 DEC 08 17:00:43
orbit plot

Nicht-interaktives Diagramm | Interaktives Diagramm

position vs time
speed and acceleration