🇳🇴 🇬🇧 🇩🇪 🇨🇿 🇫🇮

Meteor Ørjen yllä 2024-12-08 17:00:43 UTC

KML-tiedosto  |  Interaktiivinen kartta

Kartta näyttää meteorin suuntahavainnot. Vaaleammat viivat näyttävät suunnat havaintoasemilta meteorin ilmestyessä, ja tummemmat viivat näyttävät, missä se viimeksi nähtiin. Sininen nuoli näyttää meteorin näkyvän lennon.

static map
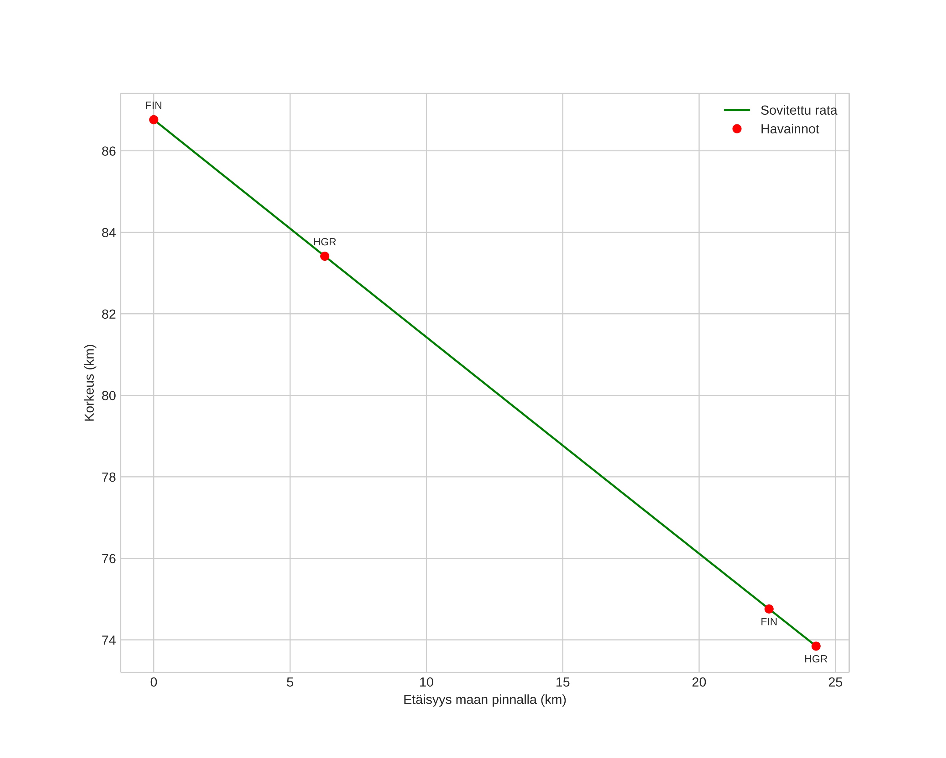
height profile
Meteorin ilmakehärata:
Alkukorkeus: 85,6 km
Loppukorkeus: 74,0 km
Alkupiste: 59,606N 12,081E
Loppupiste: 59,550N 11,692E
Suunta: 254,2°
Kallistuskulma: 27,0°
Tulonopeus: 23,8 km/s
Radiantin R,A,: 05:04 (76,1°)
Radiantin Dekl,: 27,6°
Meteoriparvi: Pohjoiset tauridit
Meteoroidin rataelementit:
Perihelietäisyys: 0,578 AU
Eksentrisyys: 0,699
Inklinaatio: 3,3°
Nousevan solmun pituus: 256,7°
Perihelin argumentti: 270,3°
Keskianomalia: 342,9°
Epookki: 2024 DEC 08 17:00:43
orbit plot

Ei-interaktiivinen kuvaaja | Interaktiivinen kuvaaja

position vs time
speed and acceleration