🇳🇴 🇬🇧 🇩🇪 🇨🇿 🇫🇮

Meteor, poloha: Hedesunda 2024-12-09 21:48:09 UTC

Soubor KML  |  InteraktivnĂ­ mapa

Mapa zobrazuje dráhy meteoru. Světlejší čáry ukazují směry od pozorovacích stanic při objevení se meteoru a tmavší čáry, kde byl naposledy viděn. Modrá šipka značí viditelnou dráhu meteoru.

static map
height profile
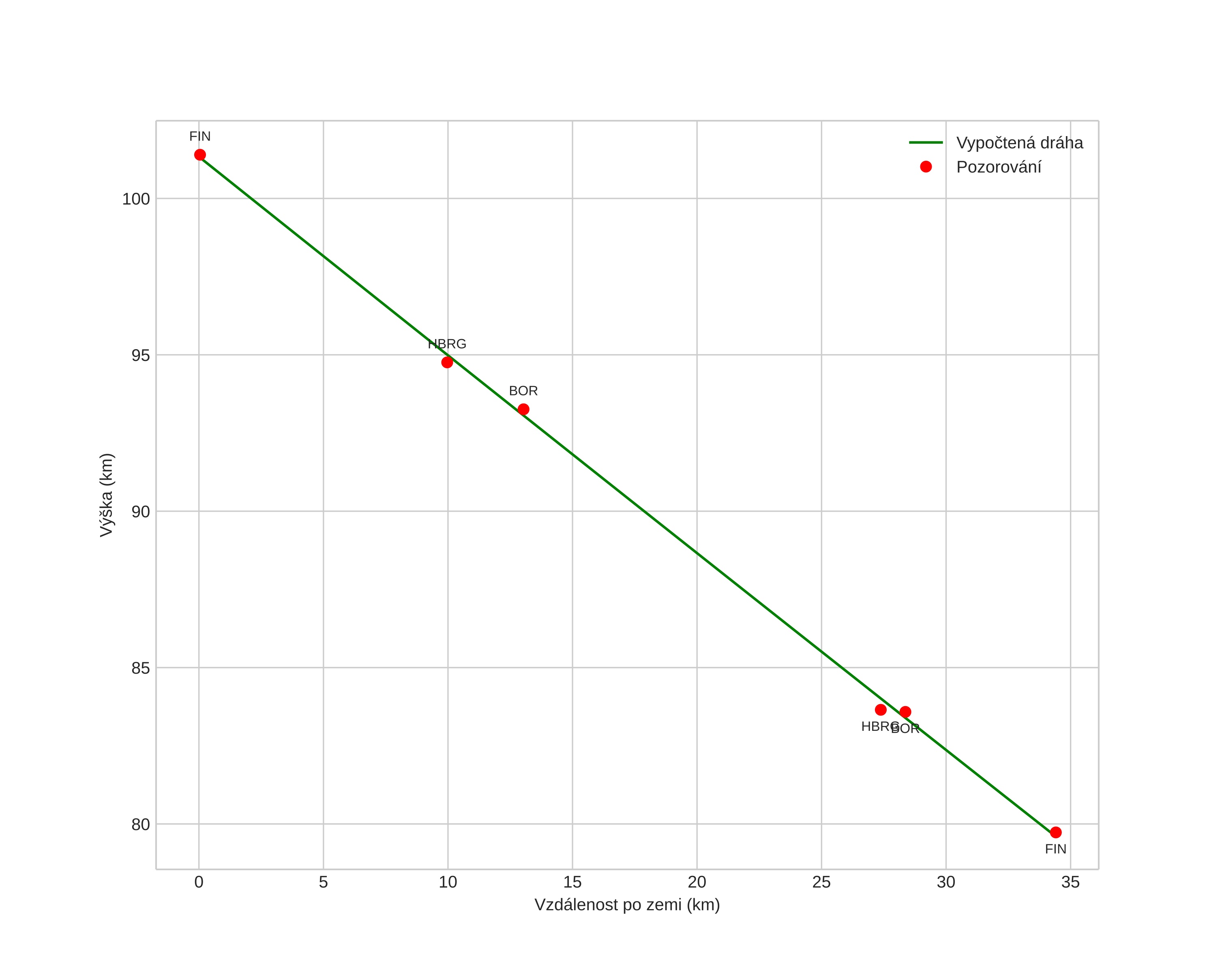
Atmosférická dráha meteoru:
Počáteční výška: 101,2 km
Konečná výška: 79,6 km
Počáteční poloha: 60,258N 17,343E
Konečná poloha: 60,485N 16,922E
Směr: 317,6°
Sklon: 32,3°
VstupnĂ­ rychlost: 42,9 km/s
Rektascenze radiantu: 06:33 (98,4°)
Deklinace radiantu: 7,8°
MeteorickĂ˝ roj: Monocerotidy
Elementy dráhy meteoroidu:
Vzdálenost v periheliu: 0,210 AU
Excentricita: 0,997
Sklon dráhy: 34,1°
Délka vzestupného uzlu: 78,0°
Argument perihelia: 125,2°
Střední anomálie: 359,9°
Epocha: 2024 DEC 09 21:48:09
orbit plot

NeinteraktivnĂ­ graf | InteraktivnĂ­ graf

position vs time
speed and acceleration