🇳🇴 🇬🇧 🇩🇪 🇨🇿 🇫🇮

Meteor über Hedesunda 2024-12-09 21:48:09 UTC

KML-Datei  |  Interaktive Karte

Die Karte zeigt die Peilungen für den Meteor. Die helleren Linien zeigen die Richtungen von den Beobachtungsorten beim Erscheinen des Meteors, und die dunkleren Linien, wo er zuletzt gesehen wurde. Der blaue Pfeil zeigt die sichtbare Bahn des Meteors.

static map
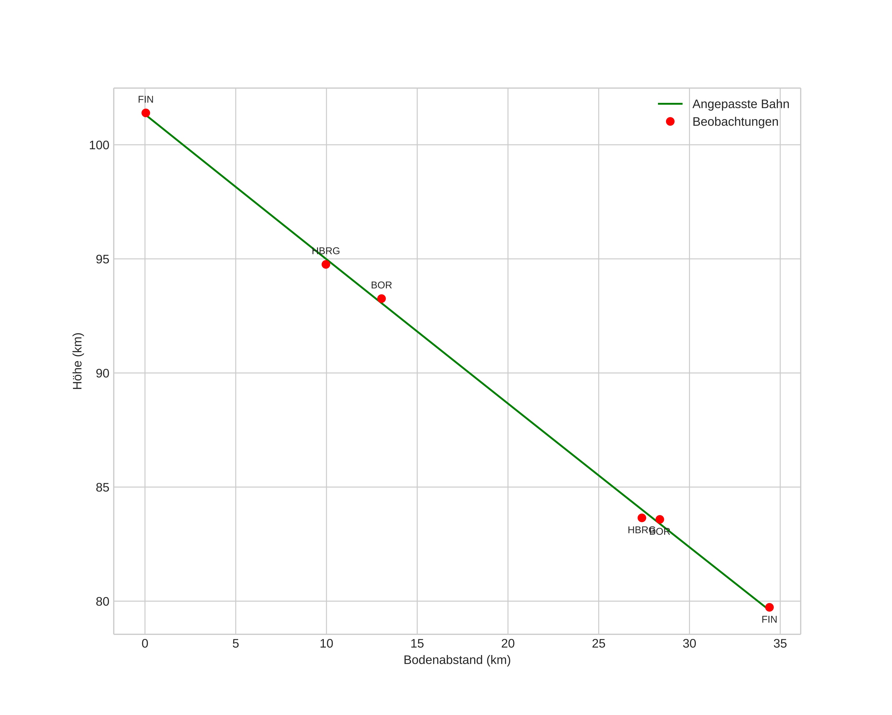
height profile
Atmosphärische Bahn des Meteors:
Anfangshöhe: 101,2 km
Endhöhe: 79,6 km
Startposition: 60,258N 17,343E
Endposition: 60,485N 16,922E
Richtung: 317,6°
Neigungswinkel: 32,3°
Eintrittsgeschwindigkeit: 42,9 km/s
Rektaszension des Radianten: 06:33 (98,4°)
Deklination des Radianten: 7,8°
Meteorstrom: Monocerotiden
Bahnelemente des Meteoroiden:
Periheldistanz: 0,210 AU
Exzentrizität: 0,997
Inklination: 34,1°
Länge des aufsteigenden Knotens: 78,0°
Argument des Perihels: 125,2°
Mittlere Anomalie: 359,9°
Epoche: 2024 DEC 09 21:48:09
orbit plot

Nicht-interaktives Diagramm | Interaktives Diagramm

position vs time
speed and acceleration