🇳🇴 🇬🇧 🇩🇪 🇨🇿 🇫🇮

Meteor Hedesundan yllä 2024-12-09 21:48:09 UTC

KML-tiedosto  |  Interaktiivinen kartta

Kartta näyttää meteorin suuntahavainnot. Vaaleammat viivat näyttävät suunnat havaintoasemilta meteorin ilmestyessä, ja tummemmat viivat näyttävät, missä se viimeksi nähtiin. Sininen nuoli näyttää meteorin näkyvän lennon.

static map
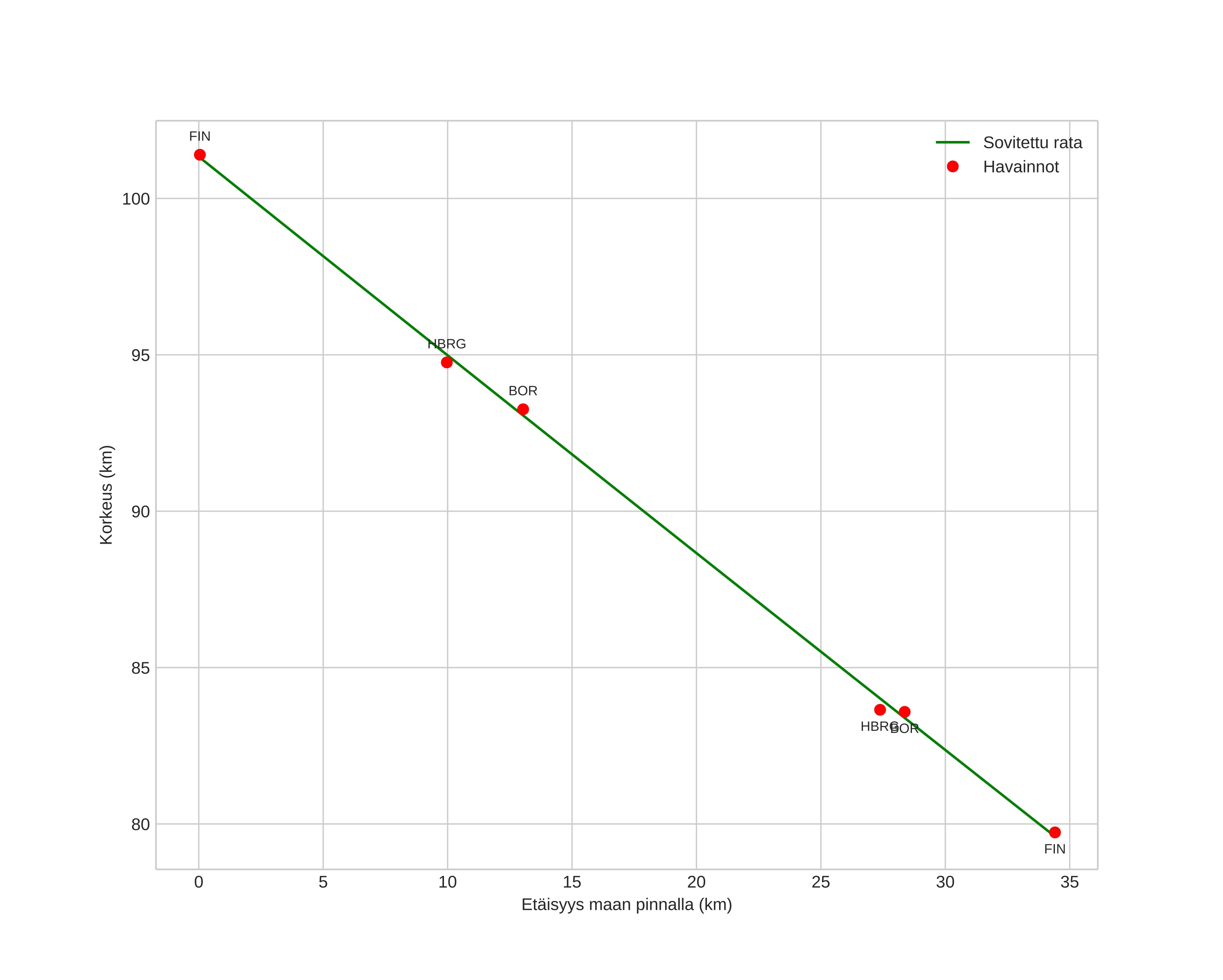
height profile
Meteorin ilmakehärata:
Alkukorkeus: 101,2 km
Loppukorkeus: 79,6 km
Alkupiste: 60,258N 17,343E
Loppupiste: 60,485N 16,922E
Suunta: 317,6°
Kallistuskulma: 32,3°
Tulonopeus: 42,9 km/s
Radiantin R,A,: 06:33 (98,4°)
Radiantin Dekl,: 7,8°
Meteoriparvi: Monoserotidit
Meteoroidin rataelementit:
Perihelietäisyys: 0,210 AU
Eksentrisyys: 0,997
Inklinaatio: 34,1°
Nousevan solmun pituus: 78,0°
Perihelin argumentti: 125,2°
Keskianomalia: 359,9°
Epookki: 2024 DEC 09 21:48:09
orbit plot

Ei-interaktiivinen kuvaaja | Interaktiivinen kuvaaja

position vs time
speed and acceleration