🇳🇴 🇬🇧 🇩🇪 🇨🇿 🇫🇮

Meteor, poloha: Rjukan 2024-12-09 22:11:27 UTC

Soubor KML  |  InteraktivnĂ­ mapa

Mapa zobrazuje dráhy meteoru. Světlejší čáry ukazují směry od pozorovacích stanic při objevení se meteoru a tmavší čáry, kde byl naposledy viděn. Modrá šipka značí viditelnou dráhu meteoru.

static map
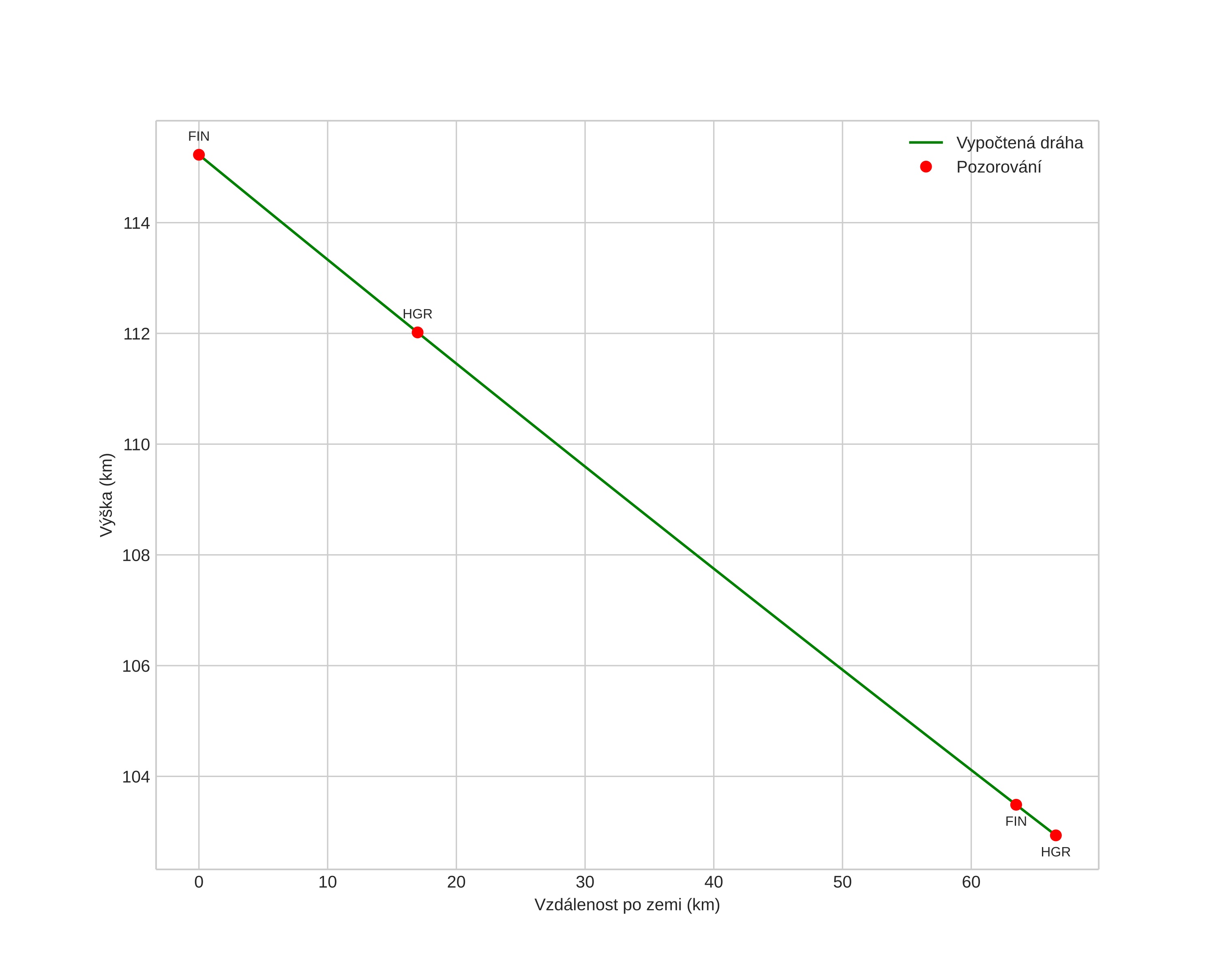
height profile
Atmosférická dráha meteoru:
Počáteční výška: 113,9 km
Konečná výška: 102,0 km
Počáteční poloha: 59,847N 9,953E
Konečná poloha: 59,979N 8,780E
Směr: 283,2°
Sklon: 10,1°
VstupnĂ­ rychlost: 61,1 km/s
Rektascenze radiantu: 09:01 (135,5°)
Deklinace radiantu: 1,6°
MeteorickĂ˝ roj: Sigma Hydridy
Elementy dráhy meteoroidu:
Vzdálenost v periheliu: 0,358 AU
Excentricita: 0,875
Sklon dráhy: 142,3°
Délka vzestupného uzlu: 78,0°
Argument perihelia: 111,3°
Střední anomálie: 351,8°
Epocha: 2024 DEC 09 22:11:27
orbit plot

NeinteraktivnĂ­ graf | InteraktivnĂ­ graf

position vs time
speed and acceleration