🇳🇴 🇬🇧 🇩🇪 🇨🇿 🇫🇮

Meteor Rjukanin yllä 2024-12-09 22:11:27 UTC

KML-tiedosto  |  Interaktiivinen kartta

Kartta näyttää meteorin suuntahavainnot. Vaaleammat viivat näyttävät suunnat havaintoasemilta meteorin ilmestyessä, ja tummemmat viivat näyttävät, missä se viimeksi nähtiin. Sininen nuoli näyttää meteorin näkyvän lennon.

static map
height profile
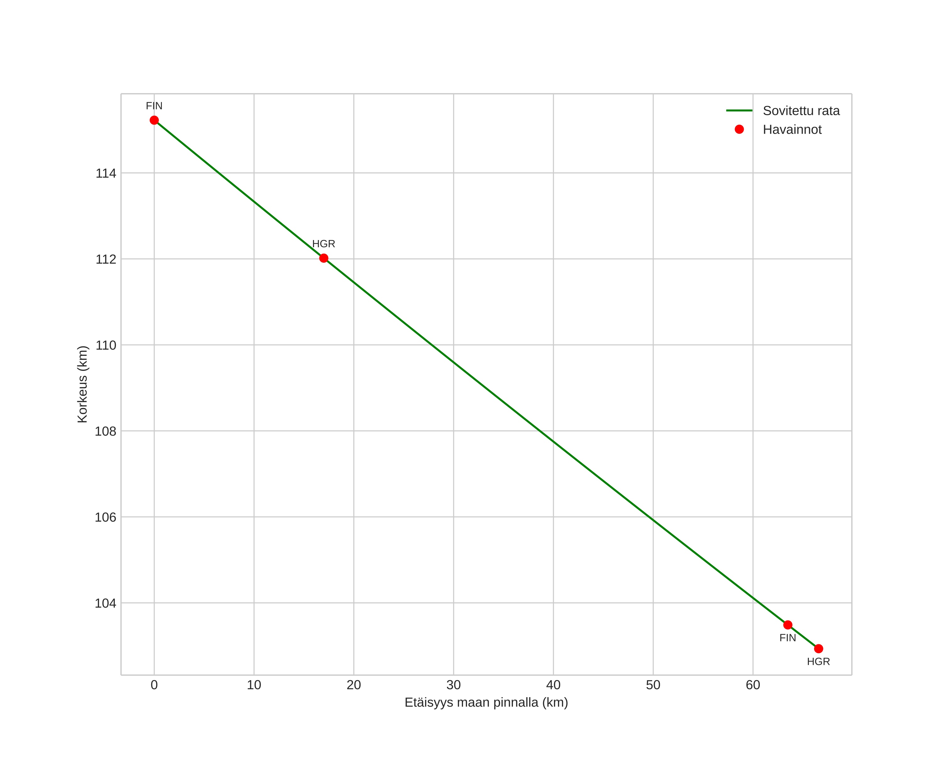
Meteorin ilmakehärata:
Alkukorkeus: 113,9 km
Loppukorkeus: 102,0 km
Alkupiste: 59,847N 9,953E
Loppupiste: 59,979N 8,780E
Suunta: 283,2°
Kallistuskulma: 10,1°
Tulonopeus: 61,1 km/s
Radiantin R,A,: 09:01 (135,5°)
Radiantin Dekl,: 1,6°
Meteoriparvi: Sigma-hydridit
Meteoroidin rataelementit:
Perihelietäisyys: 0,358 AU
Eksentrisyys: 0,875
Inklinaatio: 142,3°
Nousevan solmun pituus: 78,0°
Perihelin argumentti: 111,3°
Keskianomalia: 351,8°
Epookki: 2024 DEC 09 22:11:27
orbit plot

Ei-interaktiivinen kuvaaja | Interaktiivinen kuvaaja

position vs time
speed and acceleration