🇳🇴 🇬🇧 🇩🇪 🇨🇿 🇫🇮

Meteor über Rjukan 2024-12-09 22:11:27 UTC

KML-Datei  |  Interaktive Karte

Die Karte zeigt die Peilungen für den Meteor. Die helleren Linien zeigen die Richtungen von den Beobachtungsorten beim Erscheinen des Meteors, und die dunkleren Linien, wo er zuletzt gesehen wurde. Der blaue Pfeil zeigt die sichtbare Bahn des Meteors.

static map
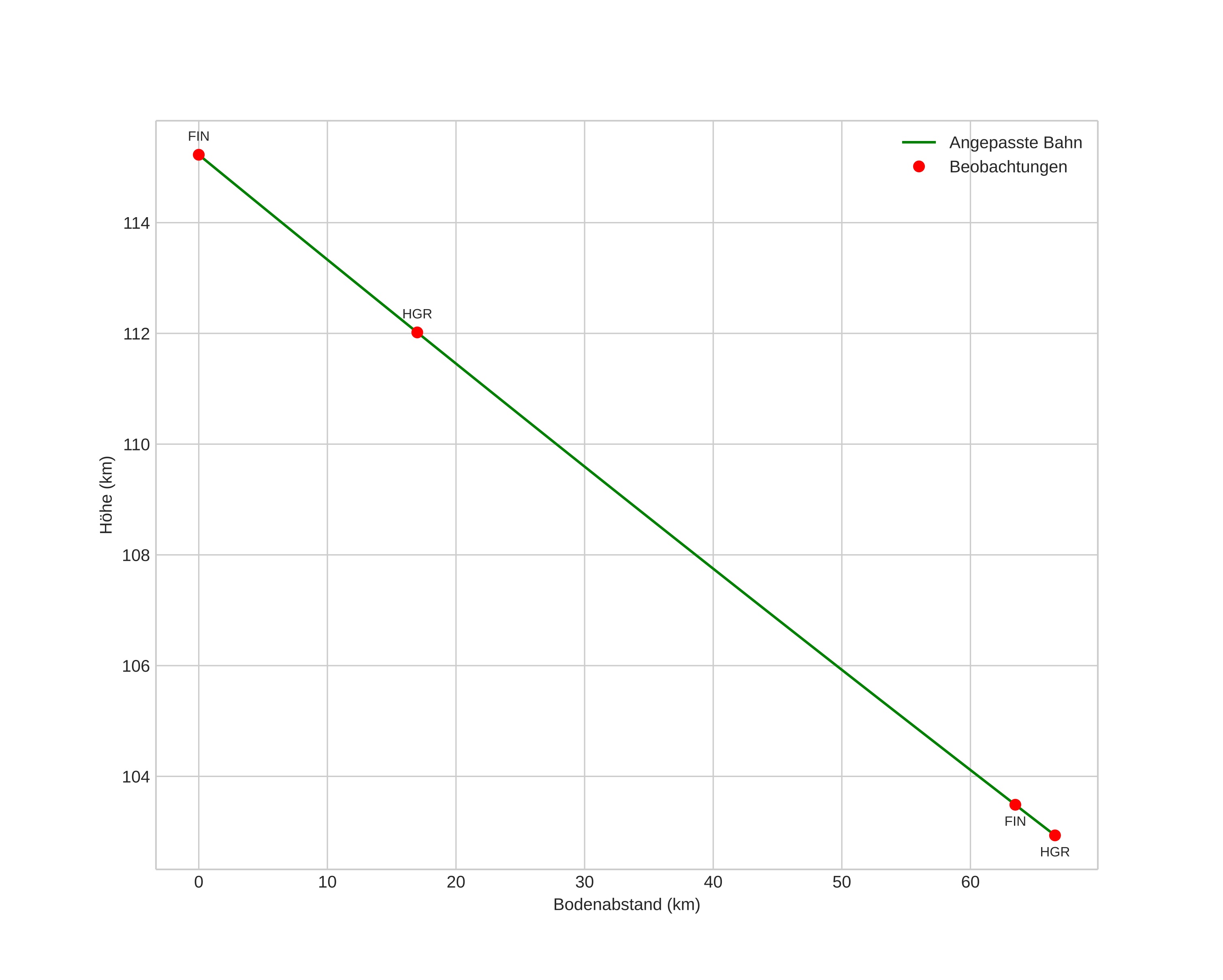
height profile
Atmosphärische Bahn des Meteors:
Anfangshöhe: 113,9 km
Endhöhe: 102,0 km
Startposition: 59,847N 9,953E
Endposition: 59,979N 8,780E
Richtung: 283,2°
Neigungswinkel: 10,1°
Eintrittsgeschwindigkeit: 61,1 km/s
Rektaszension des Radianten: 09:01 (135,5°)
Deklination des Radianten: 1,6°
Meteorstrom: Sigma-Hydriden
Bahnelemente des Meteoroiden:
Periheldistanz: 0,358 AU
Exzentrizität: 0,875
Inklination: 142,3°
Länge des aufsteigenden Knotens: 78,0°
Argument des Perihels: 111,3°
Mittlere Anomalie: 351,8°
Epoche: 2024 DEC 09 22:11:27
orbit plot

Nicht-interaktives Diagramm | Interaktives Diagramm

position vs time
speed and acceleration