🇳🇴 🇬🇧 🇩🇪 🇨🇿 🇫🇮

Meteor, poloha: Lillehammer 2024-12-10 03:38:05 UTC

Soubor KML  |  InteraktivnĂ­ mapa

Mapa zobrazuje dráhy meteoru. Světlejší čáry ukazují směry od pozorovacích stanic při objevení se meteoru a tmavší čáry, kde byl naposledy viděn. Modrá šipka značí viditelnou dráhu meteoru.

static map
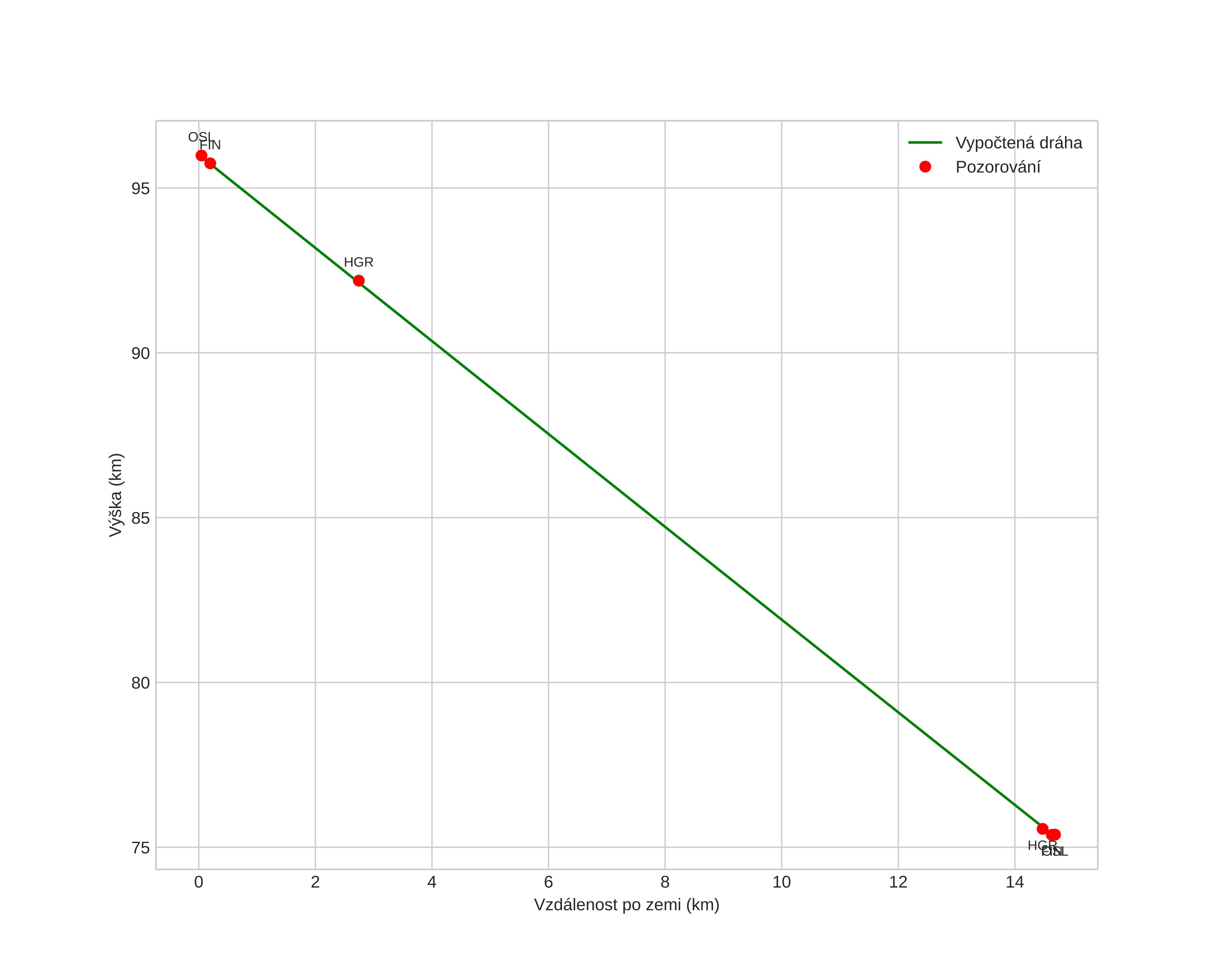
height profile
Atmosférická dráha meteoru:
Počáteční výška: 97,2 km
Konečná výška: 75,3 km
Počáteční poloha: 61,016N 10,250E
Konečná poloha: 61,099N 10,483E
Směr: 53,8°
Sklon: 54,7°
VstupnĂ­ rychlost: 37,0 km/s
Rektascenze radiantu: 07:15 (109,0°)
Deklinace radiantu: 32,3°
MeteorickĂ˝ roj: Geminidy
Elementy dráhy meteoroidu:
Vzdálenost v periheliu: 0,132 AU
Excentricita: 0,909
Sklon dráhy: 23,8°
Délka vzestupného uzlu: 258,2°
Argument perihelia: 325,0°
Střední anomálie: 339,4°
Epocha: 2024 DEC 10 03:38:05
orbit plot

NeinteraktivnĂ­ graf | InteraktivnĂ­ graf

position vs time
speed and acceleration