🇳🇴 🇬🇧 🇩🇪 🇨🇿 🇫🇮

Meteor Lillehammerin yllä 2024-12-10 03:38:05 UTC

KML-tiedosto  |  Interaktiivinen kartta

Kartta näyttää meteorin suuntahavainnot. Vaaleammat viivat näyttävät suunnat havaintoasemilta meteorin ilmestyessä, ja tummemmat viivat näyttävät, missä se viimeksi nähtiin. Sininen nuoli näyttää meteorin näkyvän lennon.

static map
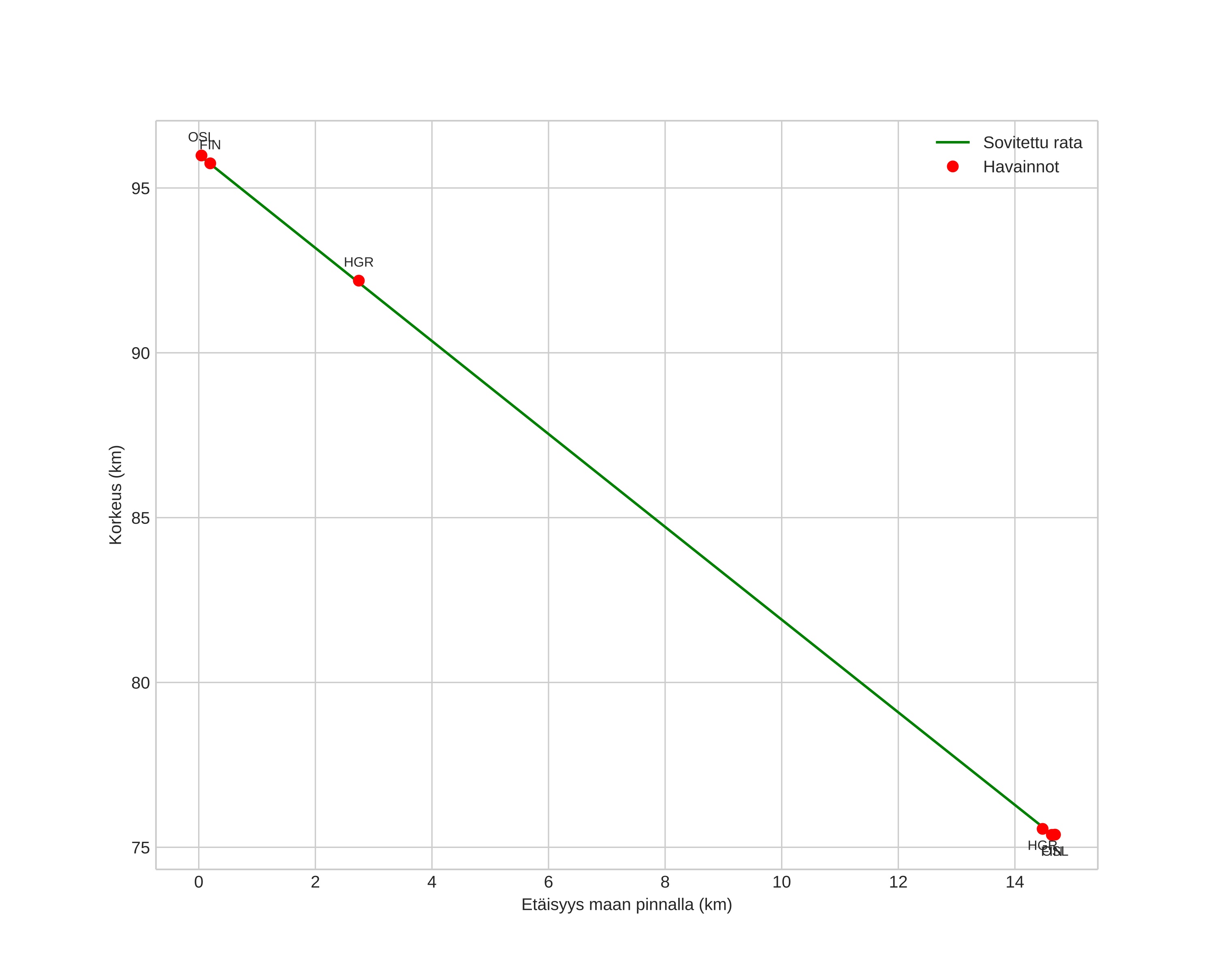
height profile
Meteorin ilmakehärata:
Alkukorkeus: 97,2 km
Loppukorkeus: 75,3 km
Alkupiste: 61,016N 10,250E
Loppupiste: 61,099N 10,483E
Suunta: 53,8°
Kallistuskulma: 54,7°
Tulonopeus: 37,0 km/s
Radiantin R,A,: 07:15 (109,0°)
Radiantin Dekl,: 32,3°
Meteoriparvi: Geminidit
Meteoroidin rataelementit:
Perihelietäisyys: 0,132 AU
Eksentrisyys: 0,909
Inklinaatio: 23,8°
Nousevan solmun pituus: 258,2°
Perihelin argumentti: 325,0°
Keskianomalia: 339,4°
Epookki: 2024 DEC 10 03:38:05
orbit plot

Ei-interaktiivinen kuvaaja | Interaktiivinen kuvaaja

position vs time
speed and acceleration