🇳🇴 🇬🇧 🇩🇪 🇨🇿 🇫🇮

Meteor über Lillehammer 2024-12-10 03:38:05 UTC

KML-Datei  |  Interaktive Karte

Die Karte zeigt die Peilungen für den Meteor. Die helleren Linien zeigen die Richtungen von den Beobachtungsorten beim Erscheinen des Meteors, und die dunkleren Linien, wo er zuletzt gesehen wurde. Der blaue Pfeil zeigt die sichtbare Bahn des Meteors.

static map
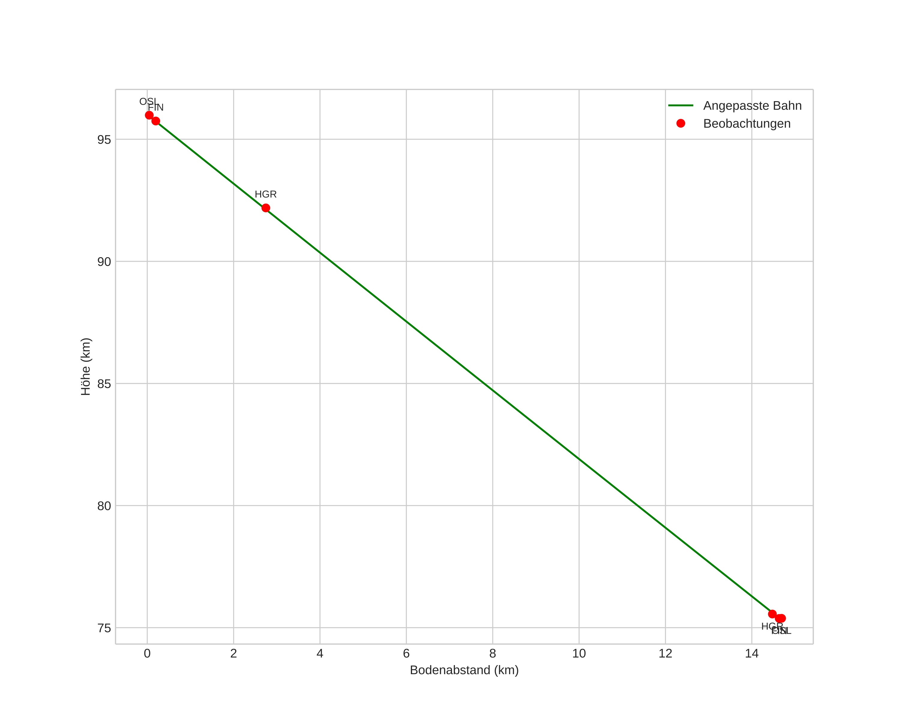
height profile
Atmosphärische Bahn des Meteors:
Anfangshöhe: 97,2 km
Endhöhe: 75,3 km
Startposition: 61,016N 10,250E
Endposition: 61,099N 10,483E
Richtung: 53,8°
Neigungswinkel: 54,7°
Eintrittsgeschwindigkeit: 37,0 km/s
Rektaszension des Radianten: 07:15 (109,0°)
Deklination des Radianten: 32,3°
Meteorstrom: Geminiden
Bahnelemente des Meteoroiden:
Periheldistanz: 0,132 AU
Exzentrizität: 0,909
Inklination: 23,8°
Länge des aufsteigenden Knotens: 258,2°
Argument des Perihels: 325,0°
Mittlere Anomalie: 339,4°
Epoche: 2024 DEC 10 03:38:05
orbit plot

Nicht-interaktives Diagramm | Interaktives Diagramm

position vs time
speed and acceleration