🇳🇴 🇬🇧 🇩🇪 🇨🇿 🇫🇮

Meteor, poloha: Hamar 2024-12-14 17:38:11 UTC

Soubor KML  |  InteraktivnĂ­ mapa

Mapa zobrazuje dráhy meteoru. Světlejší čáry ukazují směry od pozorovacích stanic při objevení se meteoru a tmavší čáry, kde byl naposledy viděn. Modrá šipka značí viditelnou dráhu meteoru.

static map
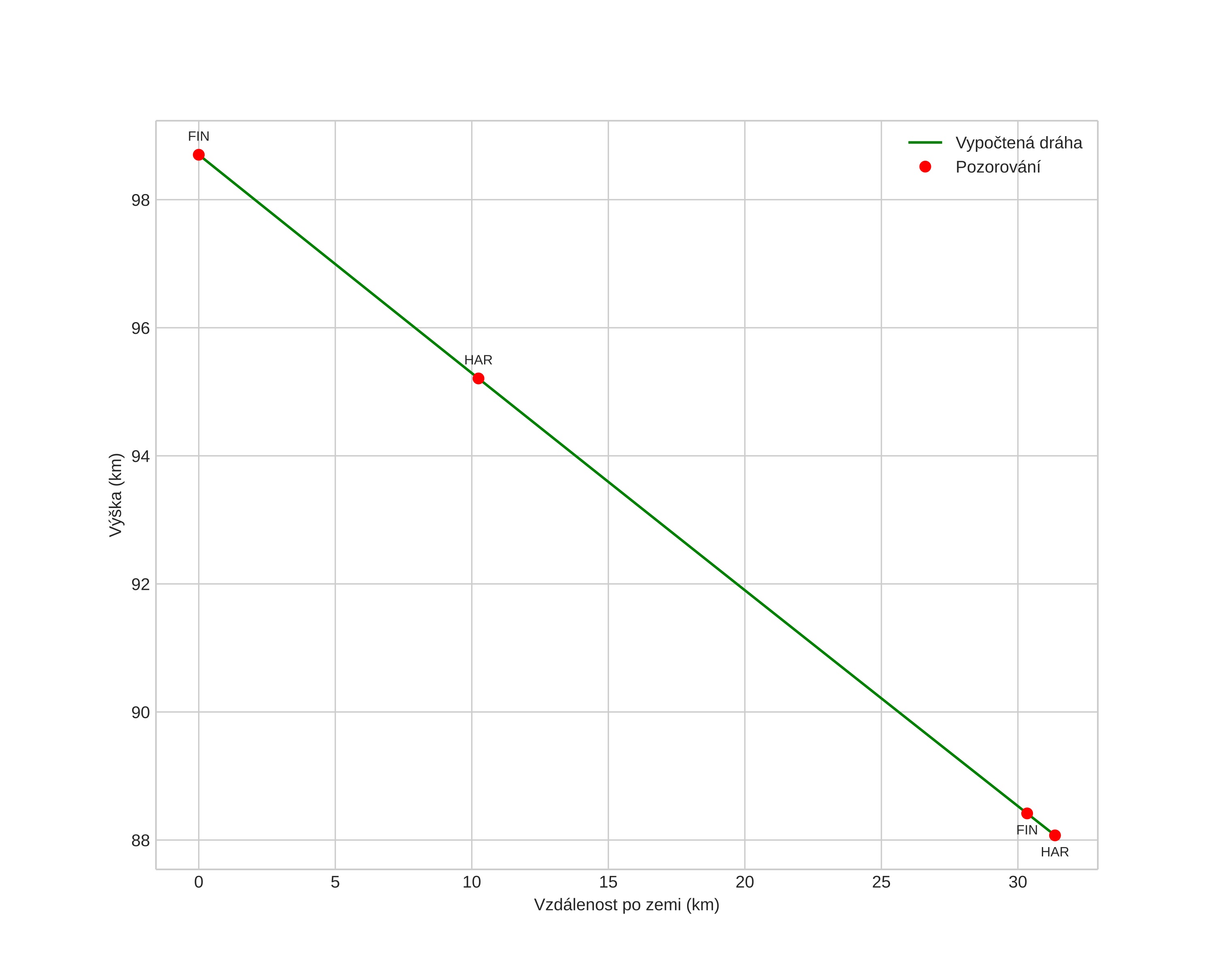
height profile
Atmosférická dráha meteoru:
Počáteční výška: 99,2 km
Konečná výška: 88,1 km
Počáteční poloha: 61,115N 11,603E
Konečná poloha: 60,945N 11,118E
Směr: 234,4°
Sklon: 19,0°
VstupnĂ­ rychlost: 36,4 km/s
Rektascenze radiantu: 07:34 (113,7°)
Deklinace radiantu: 31,9°
MeteorickĂ˝ roj: Geminidy
Elementy dráhy meteoroidu:
Vzdálenost v periheliu: 0,144 AU
Excentricita: 0,898
Sklon dráhy: 22,6°
Délka vzestupného uzlu: 262,9°
Argument perihelia: 323,6°
Střední anomálie: 338,0°
Epocha: 2024 DEC 14 17:38:11
orbit plot

NeinteraktivnĂ­ graf | InteraktivnĂ­ graf

position vs time
speed and acceleration