🇳🇴 🇬🇧 🇩🇪 🇨🇿 🇫🇮

Meteor over Hamar 2024-12-14 17:38:11 UTC

KML file  |  Interactive map

The map shows the bearings for the meteor. The lighter lines show the directions from the observation sites at the meteor's appearance, and the darker lines show where it was last seen. The blue arrow indicates the visible path of the meteor.

static map
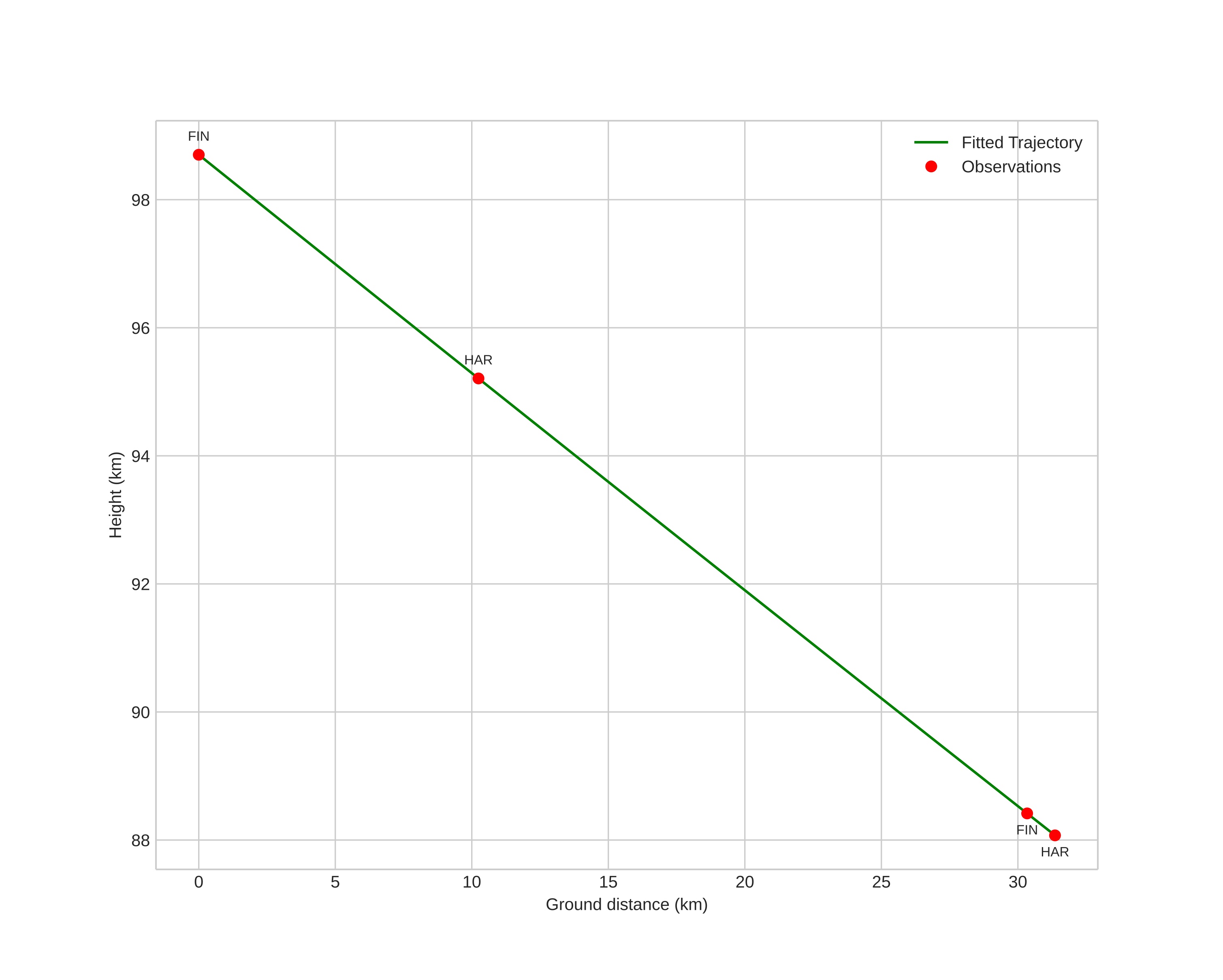
height profile
Meteor's Atmospheric Trajectory:
Start height: 99.2 km
End height: 88.1 km
Start position: 61.115N 11.603E
End position: 60.945N 11.118E
Direction: 234.4°
Inclination angle: 19.0°
Entry speed: 36.4 km/s
Radiant R.A.: 07:34 (113.7°)
Radiant Dec.: 31.9°
Meteor Shower: Geminids
Meteoroid's Orbital Elements:
Perihelion distance: 0.144 AU
Eccentricity: 0.898
Inclination: 22.6°
Long. of Asc. Node: 262.9°
Argument of Perihelion: 323.6°
Mean Anomaly: 338.0°
Epoch: 2024 DEC 14 17:38:11
orbit plot

Non-interactive plot | Interactive plot

position vs time
speed and acceleration

Finnskogen (FIN) cam6


gnomonic
Videos
• Gnomonic
• Gnomonic with coordinates
• Original
• Original with coordinates
Images
• Gnomonic
• Gnomonic with coordinates
• Uncorrected gnomonic with coordinates
• Gnomonic with labels
• Uncorrected gnomonic with labels
• Original
• Original with coordinates
Text Files
• Detection
• Observation
• Coordinates
• Log
Brightness

Harestua (HAR) cam6


gnomonic
Videos
• Gnomonic
• Gnomonic with coordinates
• Original
• Original with coordinates
Images
• Gnomonic
• Gnomonic with coordinates
• Uncorrected gnomonic with coordinates
• Gnomonic with labels
• Uncorrected gnomonic with labels
• Original
• Original with coordinates
Text Files
• Detection
• Observation
• Coordinates
• Log
Brightness