🇳🇴 🇬🇧 🇩🇪 🇨🇿 🇫🇮

Meteor über Hamar 2024-12-14 17:38:11 UTC

KML-Datei  |  Interaktive Karte

Die Karte zeigt die Peilungen für den Meteor. Die helleren Linien zeigen die Richtungen von den Beobachtungsorten beim Erscheinen des Meteors, und die dunkleren Linien, wo er zuletzt gesehen wurde. Der blaue Pfeil zeigt die sichtbare Bahn des Meteors.

static map
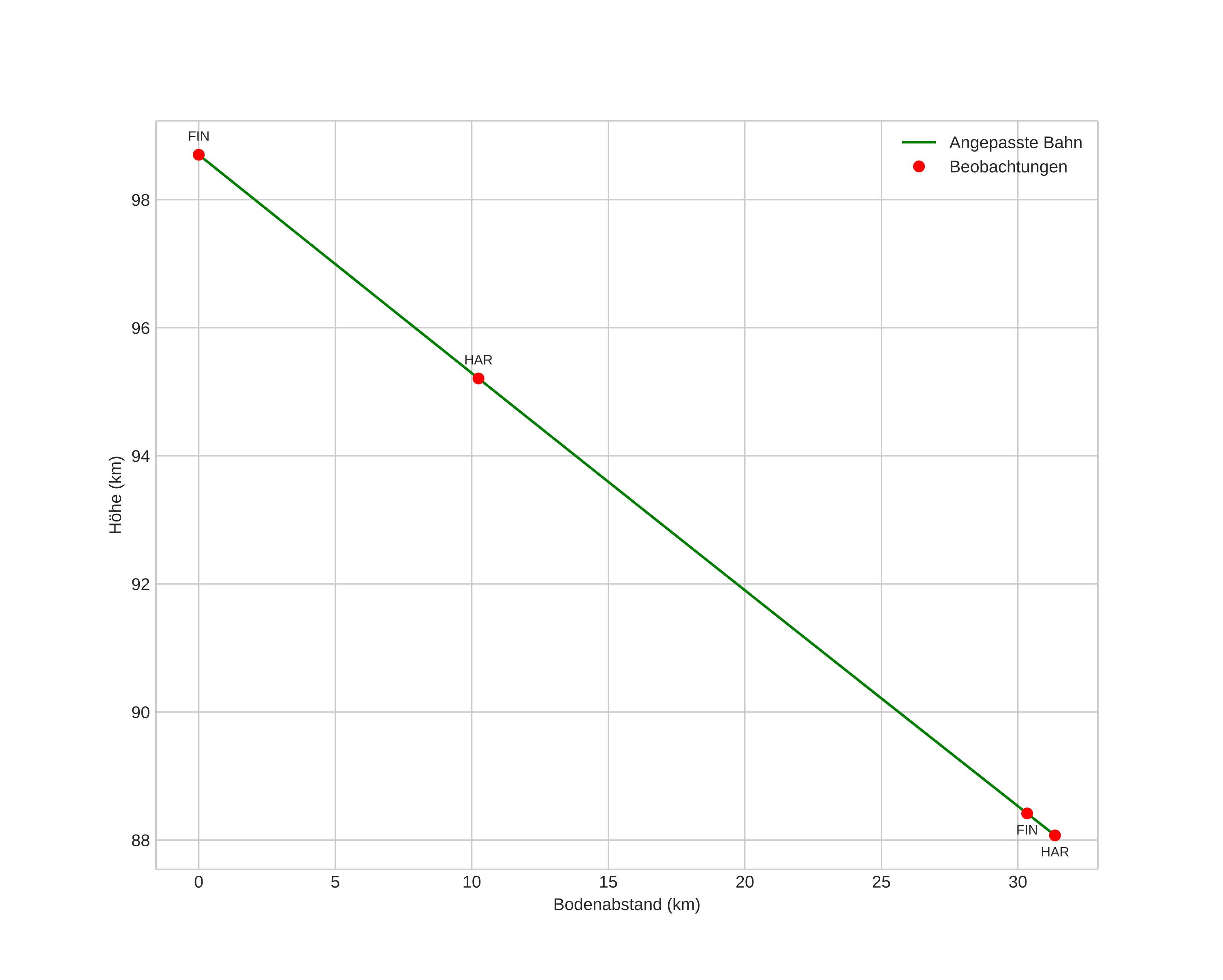
height profile
Atmosphärische Bahn des Meteors:
Anfangshöhe: 99,2 km
Endhöhe: 88,1 km
Startposition: 61,115N 11,603E
Endposition: 60,945N 11,118E
Richtung: 234,4°
Neigungswinkel: 19,0°
Eintrittsgeschwindigkeit: 36,4 km/s
Rektaszension des Radianten: 07:34 (113,7°)
Deklination des Radianten: 31,9°
Meteorstrom: Geminiden
Bahnelemente des Meteoroiden:
Periheldistanz: 0,144 AU
Exzentrizität: 0,898
Inklination: 22,6°
Länge des aufsteigenden Knotens: 262,9°
Argument des Perihels: 323,6°
Mittlere Anomalie: 338,0°
Epoche: 2024 DEC 14 17:38:11
orbit plot

Nicht-interaktives Diagramm | Interaktives Diagramm

position vs time
speed and acceleration