🇳🇴 🇬🇧 🇩🇪 🇨🇿 🇫🇮

Meteor, poloha: Hov 2024-12-14 18:02:40 UTC

Soubor KML  |  InteraktivnĂ­ mapa

Mapa zobrazuje dráhy meteoru. Světlejší čáry ukazují směry od pozorovacích stanic při objevení se meteoru a tmavší čáry, kde byl naposledy viděn. Modrá šipka značí viditelnou dráhu meteoru.

static map
height profile
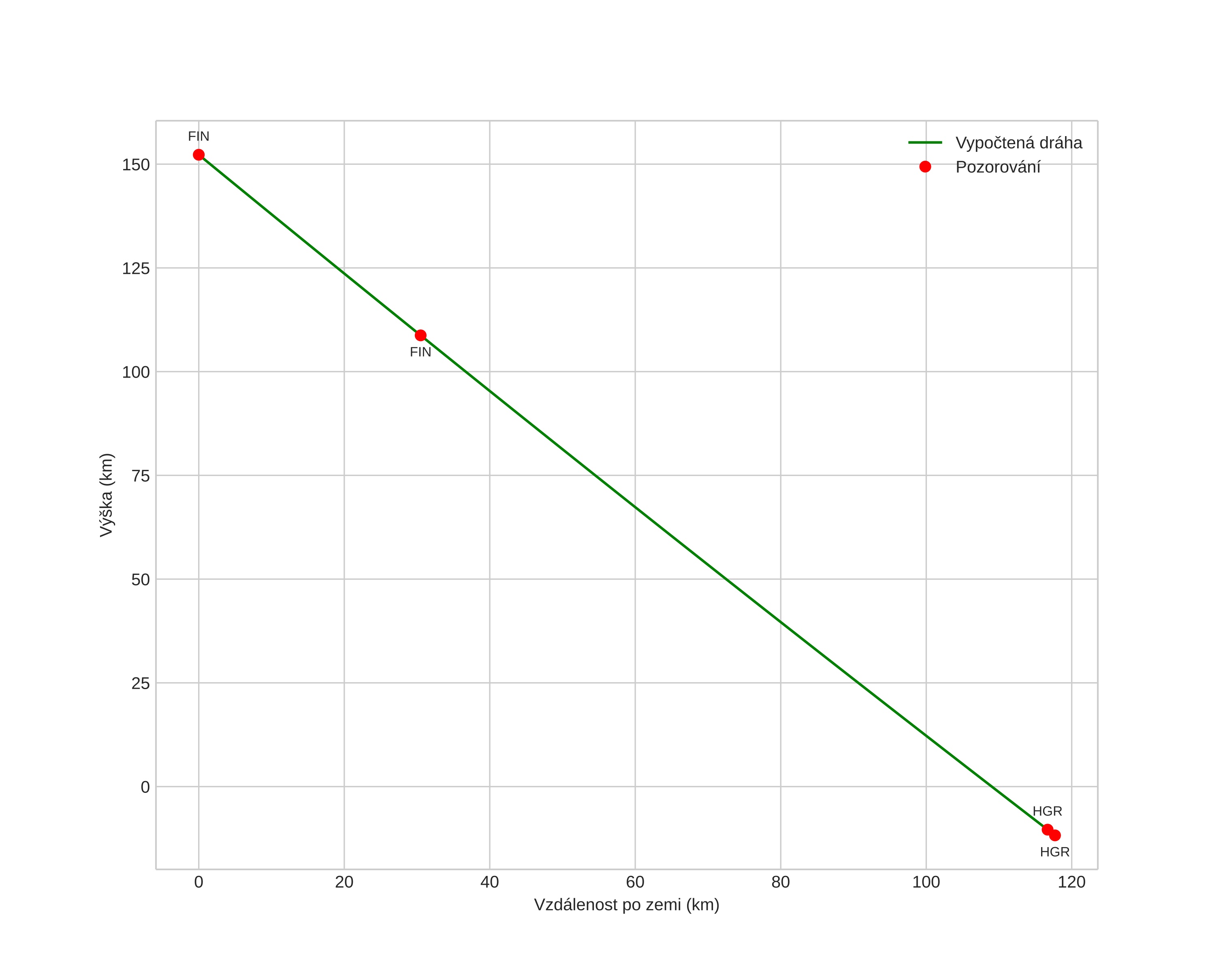
Atmosférická dráha meteoru:
Počáteční výška: 147,7 km
Konečná výška: -11,3 km
Počáteční poloha: 61,548N 11,261E
Konečná poloha: 60,597N 10,336E
Směr: 205,6°
Sklon: 53,7°
VstupnĂ­ rychlost: 54,4 km/s
Rektascenze radiantu: 07:38 (114,5°)
Deklinace radiantu: 74,4°
MeteorickĂ˝ roj: sporadickĂ˝
Elementy dráhy meteoroidu:
Vzdálenost v periheliu: 0,751 AU
Excentricita: 2,150
Sklon dráhy: 64,1°
Délka vzestupného uzlu: 262,9°
Argument perihelia: 229,3°
Střední anomálie: -41,4°
Epocha: 2024 DEC 14 18:02:40
orbit plot

NeinteraktivnĂ­ graf | InteraktivnĂ­ graf

position vs time
speed and acceleration