🇳🇴 🇬🇧 🇩🇪 🇨🇿 🇫🇮

Meteor über Hov 2024-12-14 18:02:40 UTC

KML-Datei  |  Interaktive Karte

Die Karte zeigt die Peilungen für den Meteor. Die helleren Linien zeigen die Richtungen von den Beobachtungsorten beim Erscheinen des Meteors, und die dunkleren Linien, wo er zuletzt gesehen wurde. Der blaue Pfeil zeigt die sichtbare Bahn des Meteors.

static map
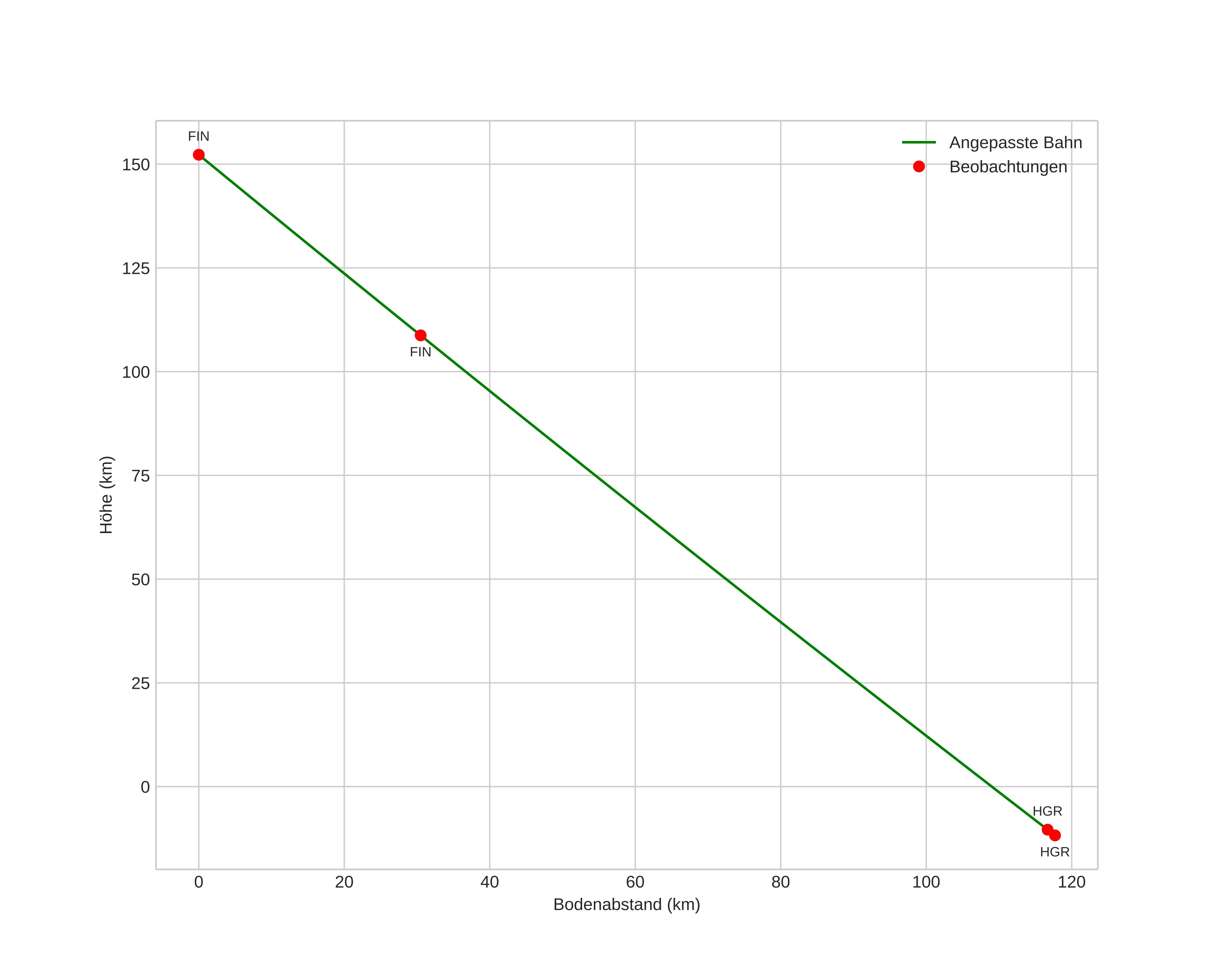
height profile
Atmosphärische Bahn des Meteors:
Anfangshöhe: 147,7 km
Endhöhe: -11,3 km
Startposition: 61,548N 11,261E
Endposition: 60,597N 10,336E
Richtung: 205,6°
Neigungswinkel: 53,7°
Eintrittsgeschwindigkeit: 54,4 km/s
Rektaszension des Radianten: 07:38 (114,5°)
Deklination des Radianten: 74,4°
Meteorstrom: sporadisch
Bahnelemente des Meteoroiden:
Periheldistanz: 0,751 AU
Exzentrizität: 2,150
Inklination: 64,1°
Länge des aufsteigenden Knotens: 262,9°
Argument des Perihels: 229,3°
Mittlere Anomalie: -41,4°
Epoche: 2024 DEC 14 18:02:40
orbit plot

Nicht-interaktives Diagramm | Interaktives Diagramm

position vs time
speed and acceleration