🇳🇴 🇬🇧 🇩🇪 🇨🇿 🇫🇮

Meteor Hovin yllä 2024-12-14 18:02:40 UTC

KML-tiedosto  |  Interaktiivinen kartta

Kartta näyttää meteorin suuntahavainnot. Vaaleammat viivat näyttävät suunnat havaintoasemilta meteorin ilmestyessä, ja tummemmat viivat näyttävät, missä se viimeksi nähtiin. Sininen nuoli näyttää meteorin näkyvän lennon.

static map
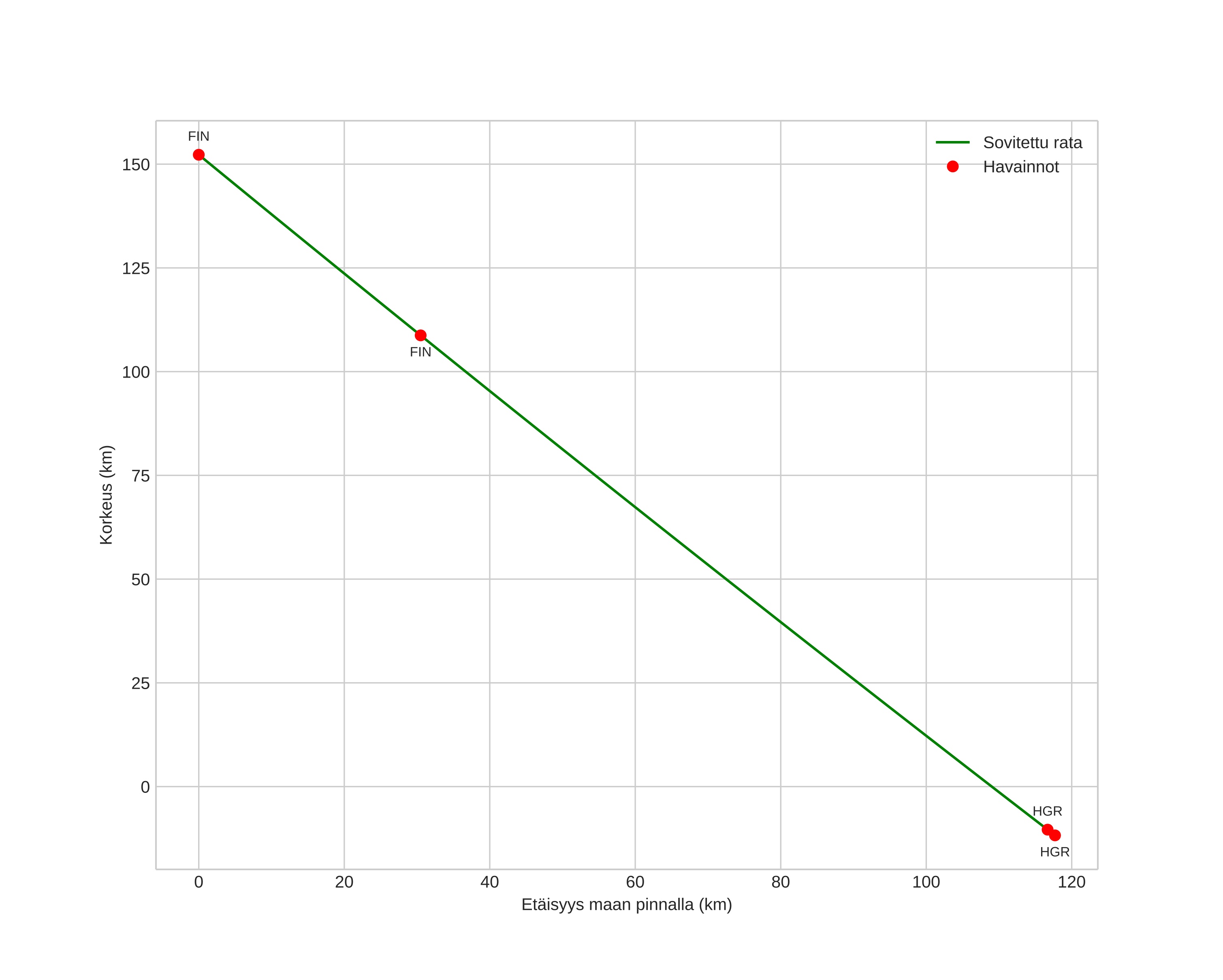
height profile
Meteorin ilmakehärata:
Alkukorkeus: 147,7 km
Loppukorkeus: -11,3 km
Alkupiste: 61,548N 11,261E
Loppupiste: 60,597N 10,336E
Suunta: 205,6°
Kallistuskulma: 53,7°
Tulonopeus: 54,4 km/s
Radiantin R,A,: 07:38 (114,5°)
Radiantin Dekl,: 74,4°
Meteoriparvi: Sporadinen
Meteoroidin rataelementit:
Perihelietäisyys: 0,751 AU
Eksentrisyys: 2,150
Inklinaatio: 64,1°
Nousevan solmun pituus: 262,9°
Perihelin argumentti: 229,3°
Keskianomalia: -41,4°
Epookki: 2024 DEC 14 18:02:40
orbit plot

Ei-interaktiivinen kuvaaja | Interaktiivinen kuvaaja

position vs time
speed and acceleration