🇳🇴 🇬🇧 🇩🇪 🇨🇿 🇫🇮

Meteor, poloha: Segalstad bru 2024-12-14 23:09:51 UTC

Soubor KML  |  InteraktivnĂ­ mapa

Mapa zobrazuje dráhy meteoru. Světlejší čáry ukazují směry od pozorovacích stanic při objevení se meteoru a tmavší čáry, kde byl naposledy viděn. Modrá šipka značí viditelnou dráhu meteoru.

static map
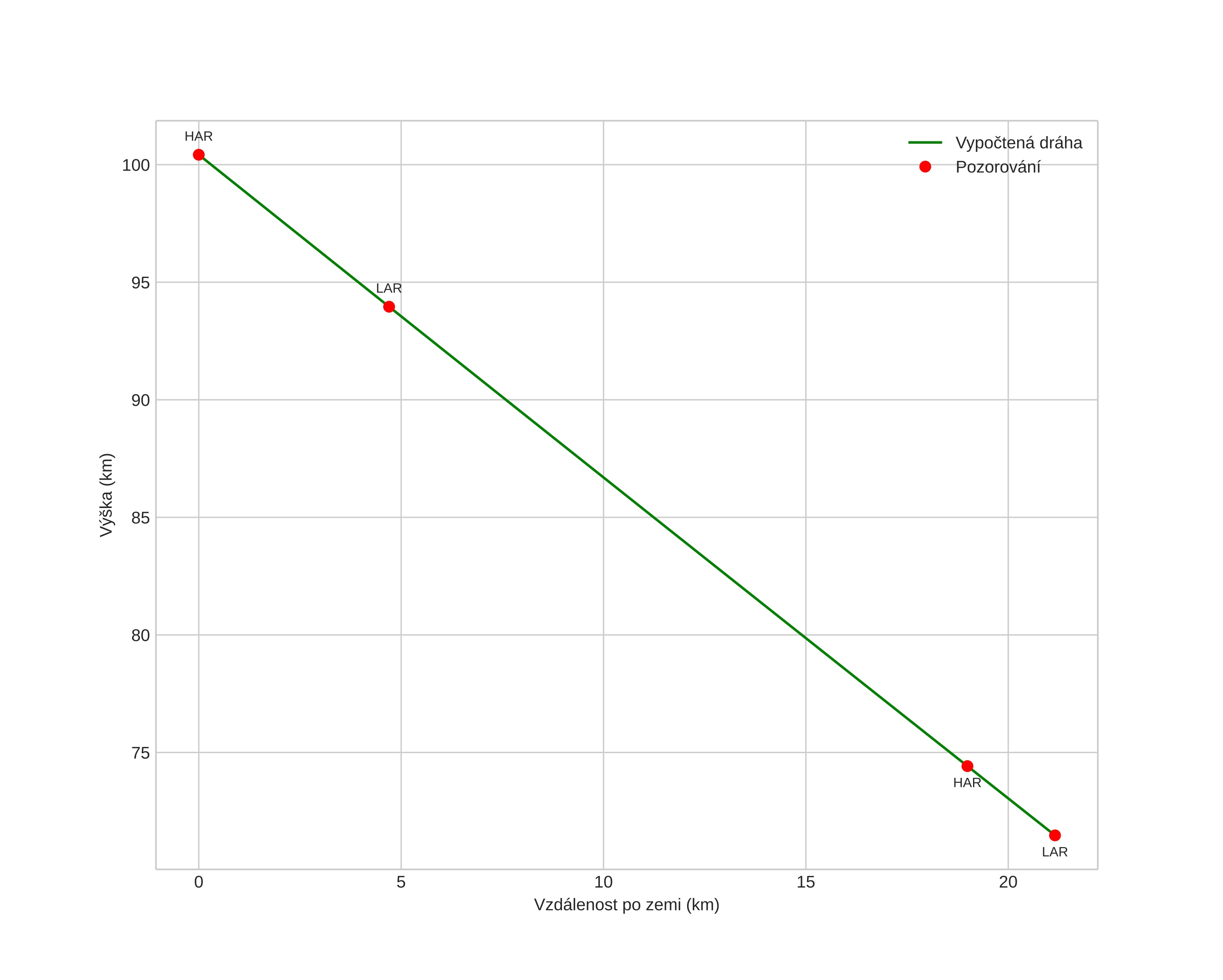
height profile
Atmosférická dráha meteoru:
Počáteční výška: 102,6 km
Konečná výška: 71,8 km
Počáteční poloha: 61,076N 10,599E
Konečná poloha: 61,180N 10,295E
Směr: 305,5°
Sklon: 57,1°
VstupnĂ­ rychlost: 36,9 km/s
Rektascenze radiantu: 07:38 (114,7°)
Deklinace radiantu: 34,9°
MeteorickĂ˝ roj: Geminidy
Elementy dráhy meteoroidu:
Vzdálenost v periheliu: 0,158 AU
Excentricita: 0,893
Sklon dráhy: 29,1°
Délka vzestupného uzlu: 263,1°
Argument perihelia: 321,2°
Střední anomálie: 339,4°
Epocha: 2024 DEC 14 23:09:51
orbit plot

NeinteraktivnĂ­ graf | InteraktivnĂ­ graf

position vs time
speed and acceleration