🇳🇴 🇬🇧 🇩🇪 🇨🇿 🇫🇮

Meteor über Segalstad bru 2024-12-14 23:09:51 UTC

KML-Datei  |  Interaktive Karte

Die Karte zeigt die Peilungen für den Meteor. Die helleren Linien zeigen die Richtungen von den Beobachtungsorten beim Erscheinen des Meteors, und die dunkleren Linien, wo er zuletzt gesehen wurde. Der blaue Pfeil zeigt die sichtbare Bahn des Meteors.

static map
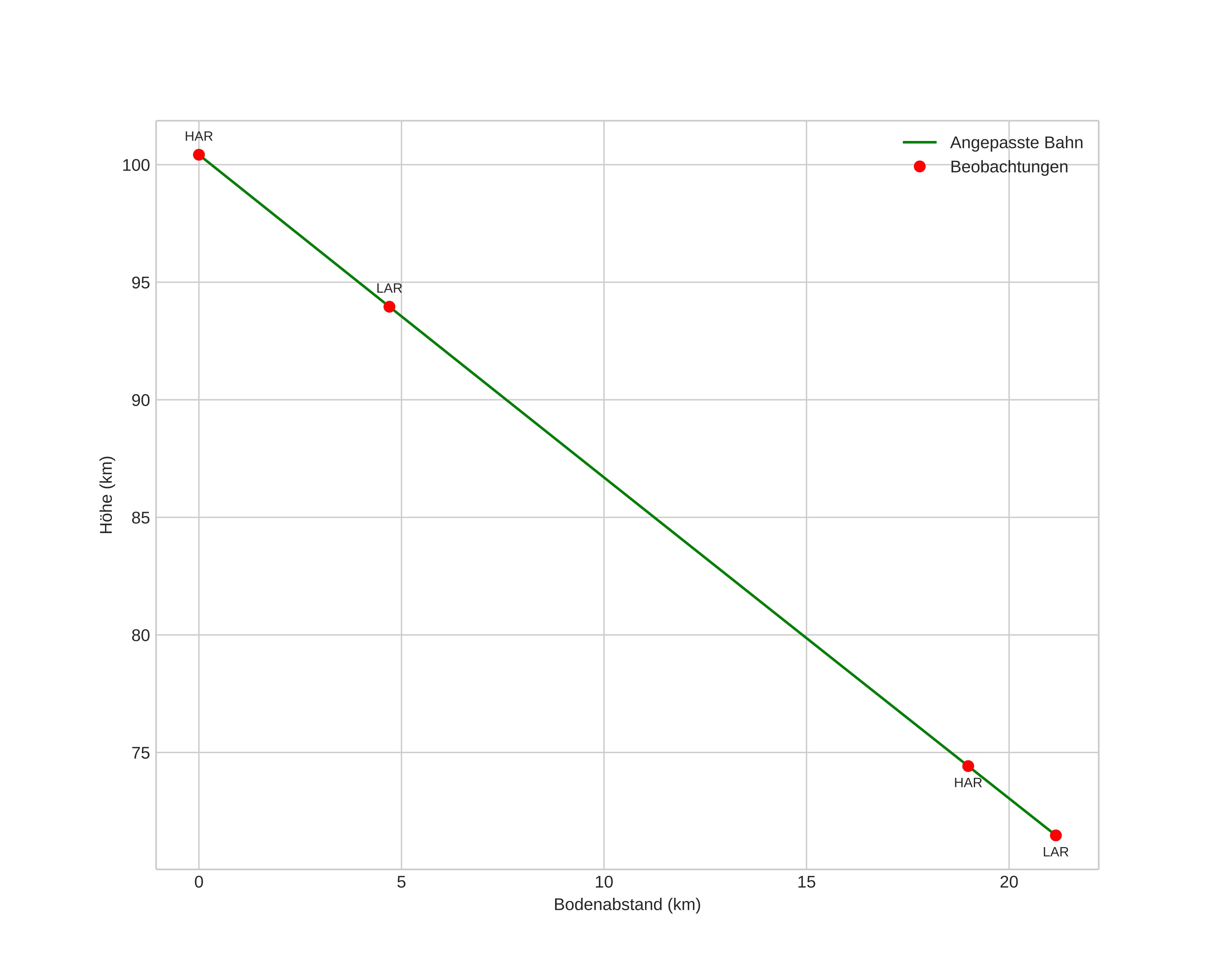
height profile
Atmosphärische Bahn des Meteors:
Anfangshöhe: 102,6 km
Endhöhe: 71,8 km
Startposition: 61,076N 10,599E
Endposition: 61,180N 10,295E
Richtung: 305,5°
Neigungswinkel: 57,1°
Eintrittsgeschwindigkeit: 36,9 km/s
Rektaszension des Radianten: 07:38 (114,7°)
Deklination des Radianten: 34,9°
Meteorstrom: Geminiden
Bahnelemente des Meteoroiden:
Periheldistanz: 0,158 AU
Exzentrizität: 0,893
Inklination: 29,1°
Länge des aufsteigenden Knotens: 263,1°
Argument des Perihels: 321,2°
Mittlere Anomalie: 339,4°
Epoche: 2024 DEC 14 23:09:51
orbit plot

Nicht-interaktives Diagramm | Interaktives Diagramm

position vs time
speed and acceleration